Research Article
변성처리 방법에 따른 보릿가루의 물리화학적 변화
마은빛
,
송은*
Physicochemical changes of barley flour subjected to different modification treatments
Eun Bit Ma
,
Eun Song*
Author Information & Copyright ▼
1Department of Food and Cooking Science, Suncheon National University, Suncheon 57922, Korea
Citation: Ma EB, Song E. Physicochemical changes of barley flour subjected to different modification treatments. Food Sci. Preserv., 32(6), 1133-1145 (2025)
Copyright © The Korean Society of Food Preservation. This is an Open Access article distributed under the terms of the Creative Commons Attribution Non-Commercial License (http://creativecommons.org/licenses/by-nc/4.0) which permits unrestricted non-commercial use, distribution, and reproduction in any medium, provided the original work is properly cited.
Received: Oct 23, 2025; Revised: Nov 20, 2025; Accepted: Nov 21, 2025
Published Online: Dec 30, 2025
Abstract
This study examined the morphological, structural, and physicochemical characteristics of modified barley flours prepared from non-waxy cultivars Sogang and Huknuri and waxy cultivars Nulichal and Boseokchal using heat-moisture treatment (HM), enzyme treatment (EZ), and combined treatment (HM-EZ). Particle size and distribution decreased after modification, and SEM images revealed that starch granules became rough and irregular, exhibiting swelling, fissures, micropores, and layered structures depending on the treatment type. Color analysis showed decreased L* and increased a* values, mainly due to non-enzymatic browning during heat treatment. X-ray diffraction indicated that all samples maintained an A-type crystalline pattern, while partial transformation to a V-type structure occurred in heat-moisture and combined treatments. FT-IR spectra showed intensified β-glucosidic bond peaks in enzyme- and combined-treated flours, suggesting enhanced molecular bonding, whereas waxy cultivars exhibited weakened hydrogen bonding. Amylose content decreased in non-waxy cultivars but increased in waxy cultivars, and damaged starch content was highest in heat-moisture and combined treatments. These results demonstrate that modification treatments altered starch granule structure and molecular order, thereby influencing the physicochemical stability of barley flour. The findings provide fundamental data for the development of functional and clean-label barley-based food ingredients.
Keywords: barley; modification treatment; structural properties; physicochemical characteristics
1. 서론
현대 식생활은 단순한 영양 공급을 넘어 건강성, 지속가능성, 기능성을 중시하는 방향으로 변화하고 있다. 소비자들은 가공식품 선택 시 영양학적 가치, 원재료의 가공 수준과 첨가물 사용 여부를 중요한 기준으로 고려하고 있으며, 이에 따라 ‘클린라벨(Clean Label)’ 식품에 대한 관심이 확대되고 있다. 클린라벨 식품은 화학적 첨가물을 최소화하거나 배제하고, 자연에 가까운 가공 방식을 적용한 제품을 의미하며, 화학적 처리 대신 물리적 ․ 생물학적 방법을 적용한 친환경적 가공 기술은 소비자 수요에 부합하는 대안으로 주목받고 있다(Lee, 2015). 식품은 국제적으로 NOVA 분류체계에 따라 가공 강도와 성분 특성을 기준으로 비가공 ․ 최소가공 식품, 가공 조리용 재료, 가공식품, 초가공식품으로 구분된다(Monteiro 등, 2019).
전분 및 곡류 가공적성 개선을 위해 다양한 변성 기술이 활용되어 왔다. 과거에는 acetylation, oxidation, phosphorylation 등의 화학적 변성처리를 통해 점도 조절, 유화성 부여, 저장 안정성 개선에 기여하였으나, 화학물질 잔류와 환경 문제로 인해 클린라벨 및 ESG 흐름에 부합하지 않는 한계가
제기되고 있다(Hernandez, 2018; Jyothi 등, 2006; Neogi 등, 2018; Waliszewski 등, 2003). 최근에는 화학적 변성을 대체할 수 있는 친환경적 대안으로 물리적 변성과 생물학적 변성이 주목받고 있다. 이러한 변성처리는 전분의 구조와 물리적 특성을 변화시켜 점도, 수분 유지력, 열 안정성, 겔 형성력 등과 같은 기능적 특성을 향상시키며, 전분의 기본 기능을 보완하는 수준을 넘어 가공식품의 조직감과 관능 품질을 개선하는 핵심 기술로 평가된다(Compart 등, 2023). 물리적 변성은 분쇄, 열, 압력, 수분, 방사선, 초음파 등의 자극을 통해 전분 입자의 결정 구조를 변화시켜 기능적 특성을 조절하는 방법으로, 대표적인 heat-moisture treatment(HM)와 annealing은 전분의 겔화 온도, 결정화도, 팽윤력 및 용해도 등의 변화를 유도하는 것으로 보고되고 있다(Chung 등, 2009; Nawaz 등, 2020; Zavareze 등, 2010). 생물학적 변성은 α-amylase, pullulanase, glucoamylase 등 전분 분해효소를 활용하여 전분의 분자 구조를 선택적으로 전달하거나 가지구조를 제거하는 방식으로, 점도 감소, 저분자화 및 다공성 구조 형성에 효과적이며, 전분의 유화성, 흡수력 개선에 기여한다(Benavent와 Rosell, 2017; Guo 등, 2021; Kim, 2012; Lacerda 등, 2019; Uthumporn 등, 2010).
보리(Hordeum vulgare L.)는 β-glucan, polyphenols, anthocyanins 등 다양한 기능성 성분을 함유하고 있으며, 이러한 조성은 점도, 수분 보유력, 겔 형성력, 색도와 같은 이화학적 특성에 영향을 미쳐 가공적성과 소재적 활용성을 높이는 중요한 요인으로 작용한다. 최근 국내에서는 기능성을 강화한 다양한 보리 품종이 육성되고 있으며, 품종에 따라 성분 조성과 기능적 특성이 달라 식품 가공 소재로서의 응용 가능성이 더욱 확대되고 있다. 보리에 대한 선행연구는 전분 특성(Park 등, 2024; Yoon, 2019), β-glucan의 기능성(Chai, 2000), 항산화효과(Song 등, 2005), 유색보리의 특성(Jeong 등, 2022; Park 등, 2011) 등 다양한 연구가 보고되고 있다. 보리를 활용한 단일변성처리 연구도 보고된 바 있으나(Kim 등, 2015; Lee, 2007; Woo 등, 2007), 단일 변성 방법에 국한되어 있으며, 품종 간 구조적 ․ 이화학적 특성 차이와 가공적성 변화까지 종합적으로 분석한 연구는 부족한 실정이다.
따라서 본 연구는 국내 보리 품종을 대상으로 물리적 변성, 생물학적 변성 및 두 방법을 결합한 복합 변성을 적용하여 보릿가루의 이화학적 특성과 전분의 구조적 변화를 비교 ․ 분석하였다. 분석을 통해 보릿가루의 고기능성 소재 전환 가능성을 확인하고, 기능성과 가공적성을 규명하여 가공식품 개발을 위한 기초자료로 제시하고자 한다.
2. 재료 및 방법
2.1. 실험재료
본 연구에서 사용한 보리(Hordeum vulgare L.) 중 메성 쌀보리 품종인 소강과 찰성 쌀보리 품종인 누리찰은 2023년 농촌진흥청 국립식량과학원에서 제공받았으며, 메성 쌀보리 품종인 흑누리와 찰성 쌀보리 품종인 보석찰은 2023년 전북 고창에서 수확한 품종으로 다온농산에서 구입하여 사용하였다. α-amylase는 Aspergillus oryzae 유래 효소(1.5 U/mg)로 Sigma(Sigma-Aldrich Co., St. Louis, MO, USA)에서 구입하여 사용하였다.
2.2. 변성처리 보릿가루 제조
변성처리 보릿가루의 제조는 습열처리(heat-moisture treatment, HM), 효소처리(enzyme treatment, EZ) 및 복합처리(heat-moisture & enzyme treatment, HM-EZ) 세 가지 방법을 적용하였고, 무처리구는 변성처리 하지 않은 보리 원곡을 그대로 핀밀분쇄기(KMS-300, Koreamedi Co., Ltd., Daegu, Korea)로 분쇄하여 시료로 사용하였다. 습열처리(HM)는 세척한 보리를 증류수에 침지한 후, autoclave(HB-506, Hanbaek Scientific Co., Bucheon, Korea)에서 121°C, 15 psi 조건으로 30분간 열처리하였다. 효소처리(EZ)는 세척한 보리의 건중량 대비 0.1% α-amylase를 첨가하여 30°C에서 3시간 반응시킨 후, autoclave에서 90°C, 15 psi 조건으로 15분간 효소를 불활성화시켰다. 복합처리(HM-EZ)는 습열처리한 보리에 0.1% α-amylase를 첨가하여 30°C에서 3시간 반응시킨 후, 동일 조건(90°C, 15 psi, 15분)으로 불활성화시켰다. 변성처리한 보리는 40°C의 dry oven (HB-502L, Hanbaek Scientific, Co., Bucheon, Korea)에서 일정 수분함량(14±1%)이 되도록 건조하였으며, 모든 시료는 핀밀분쇄기(KMS-300, Koreamedi Co., Ltd.)로 분쇄하여 시료로 사용하였다.
2.3. 물리화학적 특성 분석
2.3.1. 수분함량 및 수분활성도 측정
변성처리 보릿가루의 수분함량 분석은 AOAC법(1984)에 따라 상압가열건조법으로 분석하였고, 수분활성도(water activity, Aw)는 시료 20 g을 15±1°C 조건에서 수분활성도 측정기(HP23-AW-A, Rotronic AG, Bassersdorf, Switzerland)를 이용하여 측정하였으며, 10, 35, 50, 80% RH의 교정 시료를 사용하여 probe를 표준화시켰다.
2.3.2. 색도 측정
변성처리 보릿가루의 색도는 색차계(CS-820N, CHN Spec Technology. Co., Hangzhou, China)를 사용하여 Hunter’s value L*(백색도), a*(적색도), b*(황색도) 및 ΔE(색차)를 측정하였다. 이때 사용된 표준백판의 색도는 L*: 98.72, a*: −0.21, b*: 0.53이었으며, ΔE는 (ΔL*2+Δa*2+Δb*2)1/2의 식으로 계산하였다.
2.3.3. 아밀로오스 함량 측정
변성처리 보릿가루의 아밀로오스 함량은 Juliano(1985)의 방법으로 정량하였다. 보릿가루 100 mg을 95% ethanol 1 mL와 1 N NaOH 9 mL에 분산시키고, 항온수조에서 10분간 가열하여 냉각시킨 후, 100 mL로 정용하였다. 이 중 5 mL를 취해 1.0 N acetic acid 1 mL로 중화시킨 후, 요오드 용액(0.2% I2+2.0% KI) 2 mL를 첨가하여 100 mL로 정용하였다. 20분 후 분광광도계(Optizen pop, Mecasys Co., Daejeon, Korea)를 이용하여 620 nm의 조건에서 흡광도를 측정하였고, 아밀로오스 함량은 amylose와 amylopectin의 표준곡선으로 측정하였다.
2.3.4. 손상전분 함량 측정
변성처리 보릿가루의 손상전분 함량은 Gibson 등(1997)의 방법에 따라 enzymatic assay kit(MegaZyme Pty., Ltd., Wicklow, Ireland)을 사용하여 측정하였다. 보릿가루 100 mg을 두꺼운 유리 원심분리관에 넣어 40°C로 약 5분간 가온하고 fungal α-amylase 용액(50 U/mL) 1 mL를 각 튜브에 넣어 vortex mixer로 5초 혼합한 다음 40°C 항온수조에서 10분간 반응시킨 후 0.2% H2SO4(v/v)를 8 mL씩 첨가하여 효소 반응을 종료시켰고, 5,767 g force로 5분 동안 원심분리하였다. 상등액 0.1 mL를 두 시험관에 넣어 0.1 mL amyloglucosidase(20 U/mL)를 가하고 혼합한 다음 40°C 항온수조에서 10분간 반응시켰다. 여기에 4 mL의 GOPOD 시약을 가하고, 40°C 항온수조에서 20분간 반응시킨 후 510 nm에서 reagent blank에 대한 흡광도를 spectrophotometer(Optizen pop, Mecasys Co.)로 측정하였다.
2.3.5. 입도 분포 분석
변성처리 보릿가루의 입도분석은 Particle Size & Zeta Potential Analyzer(ELSZ-2000ZS, Otsuka Electronics Co., Ltd., Osaka, Japan)를 이용하여, Z-average, PDI(Polydispersity Index) 및 10%(D10), 50%(D50), 90%(D90)의 누적 부피 백분율에서의 입자 직경을 나타내었다.
2.3.6. Scanning electron microscopy(SEM) 분석
변성처리 보릿가루의 입자 형태 관찰은 입자 표면을 Au로 코팅하여 전도성을 갖게 한 후, Scanning electron microscope (JSM-7610F Plus, JEOL Ltd., Tokyo, Japan)을 이용하여 가속전압 25 kV, phototimes 85초의 조건에서 3,000배의 배율로 입자 형태를 관찰하였다.
2.3.7. X-선 회절도 분석
변성처리 보릿가루의 X-선 회절패턴 분석은 X-ray diffractometer (XRD-7000, Shimadzu Co, Kyoto, Japan)를 이용하여 분석하였다. 시료는 데시케이터에 넣어 수분함량을 일정하게 유지시킨 후 사용하였고, target: Cu-Kα, filter: Ni, voltage: 35 kV, current: 15 mA, time constant: 1 sec, F.S.R: 1×103 CPS 조건으로 회절각도(2θ) 5~40°까지 회절시켜 측정하였다.
2.3.8. Fourier transform infrared spectroscopy(FT-IR) 분석
변성처리 보릿가루의 Fourier transform infrared spectroscopy (FT-IR) 분석은 적외선 분광기(FT/IR-4X, Jasoco Co., Tokyo, Japan)를 이용하여 화학적 구조를 확인하였다. Spectrum의 해상도는 2.0 cm−1의 측정 범위 총 4,000 cm−1 에서 500 cm−1 까지 32번 스캔한 값들의 평균 spectrum을 투과 모드로 측정하였다.
2.4. 통계 처리
연구결과는 SPSS version 20.0(IBM Corp., Armonk, NY, USA)을 이용하여 분석하였고, 측정값은 평균 및 표준편차로 나타내었다. 보리 품종과 변성처리 조건 간의 차이를 검증하기 위해 일원배치 분산분석(one-way ANOVA)을 실시하였고, 상호작용 효과는 이원분산분석(two-way ANOVA)으로 검증하였다. 사후검정은 Duncan의 다중범위검정(Duncan’s multiple range test)을 적용하였다. 결과에 대한 검증은 p<0.05 수준에서 검증하였다.
3. 결과 및 고찰
3.1. 변성처리 보릿가루의 물리화학적 특성
3.1.1. 수분함량 및 수분활성도
변성처리 보릿가루의 수분함량과 수분활성도를 측정한 결과는 Table 1에 제시하였다. 수분함량과 수분활성도는 품종, 변성처리 방법, 그리고 두 요인 간 상호작용에서 모두 유의적인 차이를 보였다(p<0.001). 이러한 차이는 변성처리에 따른 보릿가루의 구조 변화와 수분 결합력의 차이가 품종별로 다르게 작용한 결과로 해석된다. 수분함량은 소강 품종에서 변성처리에 따라 4.20-4.76%로 증가한 반면, 흑누리, 누리찰 및 보석찰 품종은 변성처리 후 수분함량이 감소하는 경향을 보였다. 특히 누리찰과 보석찰 복합처리구는 각각 3.64%, 3.60%로 가장 낮은 값을 나타냈으며, 변성처리에 따른 수분의 탈착과 구조 변화로 인한 보수력 저하에 기인한 것으로 보인다. 수분활성도는 모든 품종에서 변성처리에 따라 감소하였으나, 소강 습열처리구는 0.21로 증가하는 경향을 보였다. 이러한 감소는 변성처리에 따른 자유수 함량 감소와 수분 결합력 향상에 의한 것으로 해석된다. Two-way ANOVA 분석 결과, 수분함량은 변성처리 방법의 주효과(12,955.827)가 가장 크게 작용하였으며, 품종 간 차이는 상대적으로 제한적이었다(p<0.001). 수분활성도는 두 요인의 주효과 모두 유의하였고, 상호작용도 유의하게 나타나 품종과 변성처리 방법에 따라 수분활성의 변화 폭이 달라짐을 확인하였다. 수분함량은 전분의 점도 및 호화 특성과 밀접하게 관련 있고, 수분활성도는 분말의 응결, 흡습성, 용해도 등에 직접적인 영향을 미친다(Dautant 등, 2007; Yin, 2008). 따라서 변성처리 방법은 수분안정성과 저장 특성을 조절하는 핵심 요인으로 작용하며, 품종과 변성처리 방법의 조합은 가공 현장에서 보완적으로 고려해야 할 중요한 변수이다.
Table 1.
Water properties and Hunter’s color value of physically and biologically modified barley flours
|
|
Treatment method |
Non-waxy |
Waxy |
Result of two-way ANOVA analysis |
| SG1) |
HNR |
NLC |
BSC |
Parameter |
df |
F value |
| Moisture content (%) |
UN2) |
4.20±0.063)cD4) |
8.48±0.02aA |
7.22±0.02aC |
8.22±0.02aB |
Barley cultivar |
3 |
1,999.941***5) |
| HM |
4.33±0.08bB |
4.55±0.04cA |
3.43±0.08dD |
4.06±0.07cC |
Treatment |
3 |
12,955.827*** |
| EZ |
4.76±0.06aC |
5.69±0.05bA |
4.94±0.03bB |
4.78±0.06bC |
Barley cultivar × Treatment |
9 |
1,658.171*** |
| HM-EZ |
4.28±0.07bcA |
4.14±0.05dB |
3.64±0.06cC |
3.60±0.07dC |
|
|
|
| Water activity |
UN |
0.19±0.00bC |
0.32±0.00aA |
0.29±0.01aB |
0.32±0.00aA |
Barley cultivar |
3 |
3,349.030*** |
| HM |
0.21±0.00aC |
0.22±0.00dB |
0.15±0.00cD |
0.27±0.00bA |
Treatment |
3 |
4,549.030*** |
| EZ |
0.19±0.00bD |
0.26±0.00bA |
0.20±0.00bC |
0.22±0.00cB |
Barley cultivar × Treatment |
9 |
922.040*** |
| HM-EZ |
0.18±0.00cC |
0.23±0.00cA |
0.15±0.00cD |
0.19±0.00dB |
|
|
|
| L* value |
UN |
90.45±0.01aB |
83.84±0.10aD |
91.74±0.11aA |
87.89±0.06aC |
Barley cultivar |
3 |
176,886.693*** |
| HM |
87.42±0.00cB |
79.44±0.01cD |
87.91±0.01cA |
85.16±0.01cC |
Treatment |
3 |
34,703.020*** |
| EZ |
89.76±0.06bB |
80.05±0.01bD |
90.34±0.02bA |
86.02±0.00bC |
Barley cultivar × Treatment |
9 |
1,136.576*** |
| HM-EZ |
86.75±0.01dB |
78.35±0.01dD |
87.93±0.00cA |
84.79±0.02dC |
|
|
|
| a* value |
UN |
−0.40±0.00dD |
0.35±0.02dA |
−0.11±0.01cC |
0.19±0.01dB |
Barley cultivar |
3 |
34,237.679*** |
| HM |
0.46±0.00bC |
0.69±0.00bA |
0.40±0.00aD |
0.64±0.00bB |
Treatment |
3 |
55,464.551*** |
| EZ |
−0.22±0.01cD |
0.58±0.00cA |
−0.02±0.00bC |
0.42±0.00cB |
Barley cultivar × Treatment |
9 |
4,110.739*** |
| HM-EZ |
0.69±0.00aB |
0.84±0.00aA |
0.40±0.00aD |
0.65±0.00aC |
|
|
|
| b* value |
UN |
8.98±0.14bA |
5.42±0.13dD |
6.34±0.08bB |
6.04±0.03dC |
Barley cultivar |
3 |
11,113.329*** |
| HM |
8.90±0.00bA |
6.32±0.00bD |
6.41±0.00aC |
7.80±0.01aB |
Treatment |
3 |
1,066.983*** |
| EZ |
8.43±0.06cA |
6.08±0.03cC |
5.69±0.01cD |
7.22±0.00bB |
Barley cultivar × Treatment |
9 |
323.095*** |
| HM-EZ |
9.24±0.00aA |
6.67±0.00aC |
6.40±0.00aD |
7.82±0.01aB |
|
|
|
| ΔE |
UN |
10.73±0.12cB |
12.67±0.12dA |
7.84±0.08cD |
10.04±0.05dC |
Barley cultivar |
3 |
57,775.154*** |
| HM |
12.35±0.00bC |
16.46±0.01bA |
10.26±0.00aD |
13.02±0.00bB |
Treatment |
3 |
16,709.748*** |
| EZ |
10.60±0.02dC |
15.88±0.00cA |
8.20±0.02bD |
12.05±0.00cB |
Barley cultivar × Treatment |
9 |
927.602*** |
| HM-EZ |
13.03±0.00aC |
17.48±0.01aA |
10.25±0.01aD |
13.28±0.02aB |
|
|
|
Download Excel Table
3.1.2. 색도
변성처리 보릿가루의 색도를 측정한 결과는 Table 1에 제시하였다. 변성처리 방법에 따라 L*값은 감소하고 a*값은 증가하였으며, b*값은 품종과 변성처리 방법에 따라 다른 경향을 보였다. ΔE값은 전반적으로 증가하여 변성처리 후 색상 차이가 뚜렷해졌고, 흑누리 복합처리구에서 가장 높은 값을 보였다. Two-way ANOVA 분석 결과, L*값은 보리 품종의 주효과(176,886.693)가 가장 크게 나타나 색도의 변화에 품종 간 차이가 주요 요인으로 작용하였으며, 변성처리 방법도 L*값에 유의적인 영향을 미쳤다. a*값은 변성처리 방법의 주효과(55,464.551)가 크게 나타났고, 변성처리 방법에 따라 색상 변화가 크게 달라졌다. b*값과 ΔE값은 보리 품종의 주효과가 크게 작용하였으며, ΔE값은 변성처리 방법에서도 뚜렷한 차이를 보여 변성처리 방법이 색상 변화에 중요한 요인으로 작용함을 확인할 수 있었다. 이러한 경향은 열처리에 따른 비효소적 갈변 반응과 구조 변화로 인한 색소 분해, 페놀화합물의 산화로 생성된 멜라노이딘 형성에 의한 결과로 보고되고 있다(De la Parra 등, 2007; Sirisoontaralak, 2006; Zielinski 등, 2006). 따라서 변성처리한 보릿가루의 색도는 품종과 변성처리 방법의 상호작용에 의해 영향을 받으며, 가공 조건 설계 시 색 품질 향상을 위해 두 요인의 조합을 고려할 필요가 있음을 시사한다.
3.1.3. 아밀로오스 함량
변성처리 보릿가루의 아밀로오스 함량은 Table 2에 제시하였다. 아밀로오스 함량은 품종과 변성처리 방법, 두 요인 간 상호작용에서 모두 유의적인 차이를 보였다(p<0.001). 메성 쌀보리 품종인 소강과 흑누리는 변성처리 후 감소하였으며, 소강은 효소처리구에서 24.47%, 흑누리는 습열처리구에서 20.98%로 가장 낮았다. 찰성 쌀보리 품종인 누리찰은 습열처리구에서 8.36%로 증가하였고, 보석찰은 복합처리구에서 6.52%로 가장 낮은 함량을 보였다. 이러한 결과는 변성처리에 따른 전분 구조 변화가 찰성과 메성 쌀보리 품종에 따라 다르게 작용함을 나타낸다. Song 등(2020)은 α-amylase가 아밀로오스 사슬을 선택적으로 가수분해하여 함량이 감소한다고 보고하였으며, 본 연구에서도 소강, 흑누리, 보석찰 효소처리구에서 아밀로오스 함량이 감소하는 경향이 나타났다. 또한, Zhao 등(2020a)은 습열처리에 의해 전분의 결정 구조가 재배열되면서 아밀로오스 분자가 불용성 저항 구조로 전환되어 가용성 아밀로오스 함량이 감소하고, 저항성전분 생성이 촉진된다고 보고하였다. 찰성 쌀보리 품종인 누리찰은 변성처리 후 아밀로오스 함량이 증가하였고, Liu 등(2023)와 Wang 등(2023)의 연구 결과와 일치하였다. 아밀로오스 함량의 증가는 열처리 과정 중 전분 결정구조의 부분적 붕괴와 아밀로펙틴의 가지 결합의 분해로 인한 짧은 선형 사슬이 형성된 결과로 보고되고 있다(Liu 등, 2023). Two-way ANOVA 분석 결과, 품종의 주효과(33,026.298)가 가장 크게 나타나 아밀로오스 함량은 주로 보리의 유전적 특성에 의해 결정되며, 변성처리 방법과 상호작용 효과도 유의하여 변성처리 조건에 따라 전분의 아밀로오스 구조가 선택적으로 변화할 수 있음을 알 수 있었다. 아밀로오스는 전분의 호화 및 노화 특성과 밀접하게 관련되어 있으며, 그 함량 변화는 팽윤력, 점도, 소화율 등 전분의 기능적 특성에 직접적인 영향을 미친다(Fonseca 등, 2021; Lindeboom 등, 2004). 따라서 변성처리 방법은 전분 구조와 기능적 특성을 조절하는 핵심 요인으로 작용하며, 품종과 변성처리 방법의 조합은 전분 가공 공정에서 보완적으로 고려해야 할 중요한 요소이다.
Table 2.
Amylose and damaged starch content of physically and biologically modified barley flours
|
|
Treatment method |
Non-waxy |
Waxy |
Result of two-way ANOVA analysis |
| SG1) |
HNR |
NLC |
BSC |
Parameter |
df |
F value |
| Amylose content (%) |
UN2) |
26.37±0.143)aB4) |
28.62±0.10aA |
7.54±0.04cD |
13.56±0.06aC |
Barley cultivar |
3 |
33,026.298***5) |
| HM |
26.01±0.05aA |
20.98±0.09dB |
8.36±0.11aC |
7.60±0.04cD |
Treatment |
3 |
1,031.037*** |
| EZ |
24.47±0.86cA |
21.20±0.10cB |
8.06±0.11bC |
7.79±0.05bC |
Barley cultivar × Treatment |
9 |
401.560*** |
| HM-EZ |
25.08±0.08bA |
24.88±0.11bB |
8.15±0.08bC |
6.52±0.06dD |
|
|
|
| Damaged starch content (%) |
UN |
3.88±0.0cB |
2.62±0.04dD |
4.14±0.05dA |
3.10±0.00dC |
Barley cultivar |
3 |
4,318.533*** |
| HM |
18.48±0.04bB |
18.74±0.05aA |
14.34±0.05bD |
17.12±0.04aC |
Treatment |
3 |
387,894.000*** |
| EZ |
3.52±0.04dD |
4.24±0.05cC |
7.64±0.05cA |
7.32±0.04cB |
Barley cultivar × Treatment |
9 |
10,092.800*** |
| HM-EZ |
19.96±0.09aA |
13.40±0.00bD |
14.58±0.04aC |
15.16±0.05bB |
|
|
|
Download Excel Table
3.1.4. 손상전분 함량
변성처리 보릿가루의 손상전분 함량은 Table 2에 제시하였다. 손상전분은 제분 과정에서 전분 과립의 결정 구조가 파괴되어 생성되며, 전분 구조와 수분함량, 제분 조건 등에 영향을 받는다(Mok, 1990; Pomeranz, 1988; Tran 등, 2011). 제분 과정에서 아밀로펙틴 사슬이 절단되고 수소결합이 약화 되어 손상도가 높아지게 되면 전분과 수분 간 결합성이 증가하여 팽윤력과 용해도가 향상되지만(Asmeda 등, 2016), 과도한 손상은 결정성 저하와 점도 감소를 유발하여 제품의 물성 안정성에 부정적 영향을 미칠 수 있다. 손상전분 함량은 품종, 변성처리 방법, 두 요인 간 상호작용에서 모두 유의적인 차이를 보였다(p<0.001). 소강은 복합처리구에서 19.96%로 가장 높았고, 흑누리와 보석찰은 각각 습열처리구에서 18.74%, 17.12%로 높게 나타났다. 반면 소강의 효소처리구는 3.52%로 감소하였는데, 이는 효소가 손상된 전분을 먼저 분해하여 제거하기 때문으로 보고되고 있다(Kim 등, 2011; Lacerda 등, 2019). Nakamura 등(2017)은 습열처리에 의해 전분 과립이 팽창하고 결정 구조의 결합력이 약화 되어 손상전분 함량이 증가한다고 보고하였으며, 본 연구에서도 유사한 경향이 확인되었다. 복합처리구의 높은 손상전분 함량은 습열처리로 인해 약화 된 결정성 구조에 효소작용이 중복되어 전분 과립의 파괴가 가속화된 결과로 해석된다. Two-way ANOVA 분석 결과, 변성처리 방법의 주효과(387,894.000)가 가장 크게 작용하였으며, 모든 품종에서 변성처리에 따라 손상전분 함량이 유의적으로 증가하였다. 품종과 변성처리 간 상호작용도 유의하게 나타나, 손상전분 함량이 품종 고유의 전분 구조 특성과 변성처리 조합에 의해 달라짐을 확인하였다.
3.1.5. 입도 분포
변성처리 보릿가루의 입도분포를 측정한 결과는 Table 3에 제시하였다. 입자크기와 분산도는 가공적성에 영향을 미치는 중요한 요인으로 보리 품종과 변성처리 방법에 따라 유의한 차이를 보였다(Jo 등, 2004; Lee 등, 2008; Rasenack과 Muller, 2004). 평균입자 크기인 Z-average는 소강 무처리구에서 1.18 μm로 가장 컸으며, 변성처리 방법에 따라 0.89-0.96 μm로 감소하였다. 흑누리는 습열처리구에서 0.47 μm로 가장 작았고, 효소처리구와 복합처리구에서 증가하였다. 누리찰과 보석찰은 변성처리 후 입자 크기가 전반적으로 감소하였으며, 특히 보석찰 복합처리구는 0.40 μm로 모든 변성처리구 중 가장 작았다. 이는 습열처리에 따른 결정구조 붕괴 및 효소에 의한 입자 분해로 입자 크기가 감소한 것으로 해석되며, 흑누리 효소처리구는 효소처리 후 열처리 과정에서의 재응집으로 입자 크기가 증가하는 경향을 보였다(Baek 등, 2017; Wang 등, 2023). PDI (polydispersity index)는 입자 분포의 균일성을 나타내는 지표로, 0에 가까울수록 단분산성을 의미한다(Dong 등, 2022). 흑누리 습열처리구에서 0.33, 누리찰 복합처리구에서 0.34, 보석찰 복합처리구에서 0.28로 가장 낮은 값을 보여 다른 변성처리구에 비해 입자 분포가 균일한 것을 확인 할 수 있었으며, 이러한 결과는 습열처리에 의해 입도 균일화가 촉진된 것으로 해석된다. D10, D50, D90은 각각 전체 입자의 10%, 50%, 90%가 해당 직경보다 작은 입자 크기를 의미한다. D10은 소강 습열처리구에서 0.08 μm, 누리찰 효소처리구에서 0.09 μm로 가장 작았고, D50과 D90은 소강과 보석찰에서 변성처리 후 크게 감소하였다. 반면 흑누리 효소처리구는 D90이 13.90 μm로 높게 나타나 대립자 잔존 또는 재응집이 발생한 것으로 해석된다. Two-way ANOVA 분석 결과, Z-average, PDI, D50 및 D90은 보리 품종, 변성처리 방법 및 두 요인 간 상호작용에서 모두 유의적인 차이를 나타냈다(p<0.001). 특히 D50의 상호작용 효과가 가장 크게 나타나 입자 분포의 중심값이 품종과 변성처리 조합에 따라 달라짐을 확인하였다. D10에서 보리 품종과 변성처리 방법의 주효과는 유의하지 않았으나(p>0.01), 두 요인 간 상호작용만 유의하여 미세 입자 영역은 두 요인의 복합작용에 의한 영향이 컸음을 시사한다. 따라서 보릿가루의 입도 제어에는 품종 특성과 변성처리 조건을 함께 고려한 조합적 접근이 필요하다.
Table 3.
Particle analysis of physically and biologically modified barley flours
|
|
Treatment method |
Non-waxy |
Waxy |
Result of two-way ANOVA analysis |
| SG1) |
HNR |
NLC |
BSC |
Parameter |
df |
F value |
| Z-average2) (μm) |
UN3) |
1.18±0.174)aA5) |
0.59±0.01bcB |
0.80±0.06aB |
1.33±0.26aA |
Barley cultivar |
3 |
39.814***6) |
| HM |
0.96±0.12abA |
0.47±0.01cB |
0.49±0.01cB |
0.51±0.02bcB |
Treatment |
3 |
35.331*** |
| EZ |
0.93±0.11abA |
0.75±0.12aB |
0.60±0.05bB |
0.70±0.07bB |
Barley cultivar × Treatment |
9 |
10.039*** |
| HM-EZ |
0.89±0.11bA |
0.63±0.01bB |
0.51±0.01cC |
0.40±0.01cC |
|
|
|
| PDI |
UN |
0.76±0.10aA |
0.42±0.01bB |
0.56±0.03aB |
0.82±0.13aA |
Barley cultivar |
3 |
46.505*** |
| HM |
0.62±0.05bA |
0.33±0.01cB |
0.34±0.02cB |
0.33±0.01cB |
Treatment |
3 |
53.534*** |
| EZ |
0.59±0.04bA |
0.51±0.06aAB |
0.44±0.04bB |
0.48±0.05bB |
Barley cultivar × Treatment |
9 |
12.458*** |
| HM-EZ |
0.59±0.06bA |
0.44±0.01bB |
0.34±0.01cC |
0.28±0.01cD |
|
|
|
| D10 (μm) |
UN |
0.16±0.13 |
0.08±0.01 |
0.10±0.01c |
0.22±0.08a |
Barley cultivar |
3 |
0.909 |
| HM |
0.08±0.00C |
0.18±0.01A |
0.13±0.02bB |
0.13±0.00bB |
Treatment |
3 |
0.596 |
| EZ |
0.13±0.01 |
0.15±0.09 |
0.09±0.00c |
0.10±0.00b |
Barley cultivar × Treatment |
9 |
3.069** |
| HM-EZ |
0.12±0.03B |
0.13±0.02AB |
0.17±0.02aA |
0.14±0.01bAB |
|
|
|
| D50 (μm) |
UN |
15.72±0.30aA |
0.17±0.06C |
0.26±0.12C |
13.86±0.39aB |
Barley cultivar |
3 |
2,652.504*** |
| HM |
1.04±0.12bA |
0.24±0.01C |
0.26±0.04BC |
0.37±0.02bB |
Treatment |
3 |
6,677.198*** |
| EZ |
0.67±0.07bA |
0.36±0.18B |
0.14±0.00C |
0.17±0.01bC |
Barley cultivar × Treatment |
9 |
2,282.493*** |
| HM-EZ |
0.67±0.20bA |
0.40±0.09B |
0.32±0.03B |
0.24±0.01bB |
|
|
|
| D90 (μm) |
UN |
24.01±0.23aA |
8.17±0.73D |
13.07±1.39aC |
20.93±0.36aB |
Barley cultivar |
3 |
69.224*** |
| HM |
16.38±2.82bA |
8.04±0.52B |
4.70±0.61cC |
4.56±1.14cC |
Treatment |
3 |
38.832*** |
| EZ |
21.84±2.94aA |
13.90±5.99B |
9.35±1.69bB |
10.40±1.89bB |
Barley cultivar × Treatment |
9 |
8.420*** |
| HM-EZ |
16.83±3.25bA |
10.35±1.99B |
5.03±0.30cC |
2.62±0.77cC |
|
|
|
Download Excel Table
3.1.6. Scanning electron microscopy(SEM)
변성처리 보릿가루의 미세구조는 Fig. 1에 제시하였다. 모든 품종의 무처리구는 크기가 큰 렌즈형의 A-granules와 불규칙한 작은 구형의 B-granules이 혼합된 매끄러운 표면을 보였다. 변성처리구는 과립의 표면이 거칠고 불규칙한 형태로 변화하였으며, 변성처리 방법에 따라 파괴 및 응집 형태의 차이를 보였다. 습열처리구는 과립 팽윤과 부분적 균열이 관찰되었고, 특히 보석찰 습열처리구는 내부로부터 발생한 균열과 표면 박리가 관찰되었다. 효소처리구에서는 다수의 미세기공과 부착된 미세입자가 관찰되었다. 효소처리 과정에서 전분립 표면에 존재하는 단백질 매트릭스(protein body)가 부분적으로 분해되어 전분립이 노출되었고, 과립 표면의 미세기공 형성 및 응집이 형성되었다(Kim 등, 2011). 또한, Dang과 Nishizu(2024)의 연구에서 전분 과립에 부착된 단백질(granule-associated proteins, GAPs 또는 SGAPs)의 제거 또는 감소는 전분 호화 특성과 기능성 변화뿐만 아니라 효소적 접근성을 증가시키는 요인으로 작용한다고 보고되고 있다. 복합처리구는 표면의 기공이 사라지고 층상으로 재배열된 조밀한 구조를 보여 습열처리로 인한 팽윤 후 효소작용이 중첩되면서 결정 영역이 재형성된 결과로 나타났다. 이러한 구조적 변화는 Cheng 등(2024)이 보고한 습열처리 전분의 과립 파괴 및 응집 현상, Hui 등(2020)이 제시한 고압가열에 의한 아밀로오스 유리 및 효소작용에 의한 혼합 결정 구조 형성과 일치하였다. 따라서 변성처리에 따른 전분 과립의 표면 손상과 재배열은 보릿가루의 구조적, 기능적 특성 변화에 직접적인 영향을 미치는 것으로 확인되었다.
Fig. 1.
SEM of the physically and biologically modified barley flours (×3,000).
Barley cultivars: SG, Sogang; HNR, Huknuri; NLC, Nulichal; BSC, Boseokchal. Treatment method: UN, untreated; HM, heat-moisture; EZ, enzyme; HM-EZ, heat-moisture & enzyme.
Download Original Figure
3.1.7. X-선 회절도
변성처리 보릿가루의 X-선 회절 패턴은 Fig. 2에 제시하였다. 모든 품종의 무처리구는 15°, 17°, 18°, 23°에서 강한 피크를 보이는 전형적인 A형 구조를 나타냈으며, 일반적인 곡류 전분의 결정성 패턴과 일치하였다(Liziane 등, 2019). 변성처리 후에도 A형 결정 구조는 유지되었으나, 습열처리구와 복합처리구에서 19-20° 부근의 새로운 피크가 관찰되어 부분적인 V형 구조가 형성된 것으로 확인되었다. V형 피크는 아밀로오스 사슬 지방산 또는 지질 성분이 결합하여 형성되는 아밀로오스-지질 복합체(amylose-lipid complex)의 존재를 의미하며, 습열처리 과정에서 전분의 미셀 구조가 부분적으로 붕괴된 후 아밀로오스의 재배열이 촉진되어 나타나는 현상으로 보고되고 있다(Jayakody 등, 2008; Yoo 등, 2013). 이러한 결과는 Lee 등(2016)의 찰옥수수가루 연구에서 보고된 습열처리에 의한 결정성 저하와 효소처리에 의한 결정화 유도 현상, Tanwar 등(2025)의 고온 ․ 고압 처리에 따른 결정질 영역의 재배열 경향과 유사한 경향을 보였다. 또한, V형 구조의 형성은 분자적 이동성을 감소시켜 팽윤 억제, 아밀로펙틴 재결정 억제 및 저장 중 노화 억제 등 가공적 이점과도 관련이 있는 것으로 보고된다(Chumsri 등, 2022; Mariscal-Moreno 등, 2019). 이러한 구조 변화는 소화효소의 접근성을 제한하여 전분의 소화율을 낮추고, 가공 중 점도 안정성 및 저장성 향상에 기여할 가능성을 시사한다. 따라서 본 연구에서 관찰된 V형 결정 구조의 부분적 형성은 변성처리에 의해 전분의 구조적 재배열이 발생하였음을 의미하며, 보릿가루의 기능적 ․ 가공적 특성에도 영향을 미칠 수 있을 것으로 판단된다.
Fig. 2.
X-ray diffraction pattern of the physically and biologically modified barley flours.
(A), Sogang; (B), Huknuri; (C), Nulichal; (D), Boseokchal. Treatment method: UN, untreated; HM, heat-moisture; EZ, enzyme; HM-EZ, heat-moisture & enzyme.
Download Original Figure
3.1.8. Fourier transform infrared spectroscopy(FT-IR)
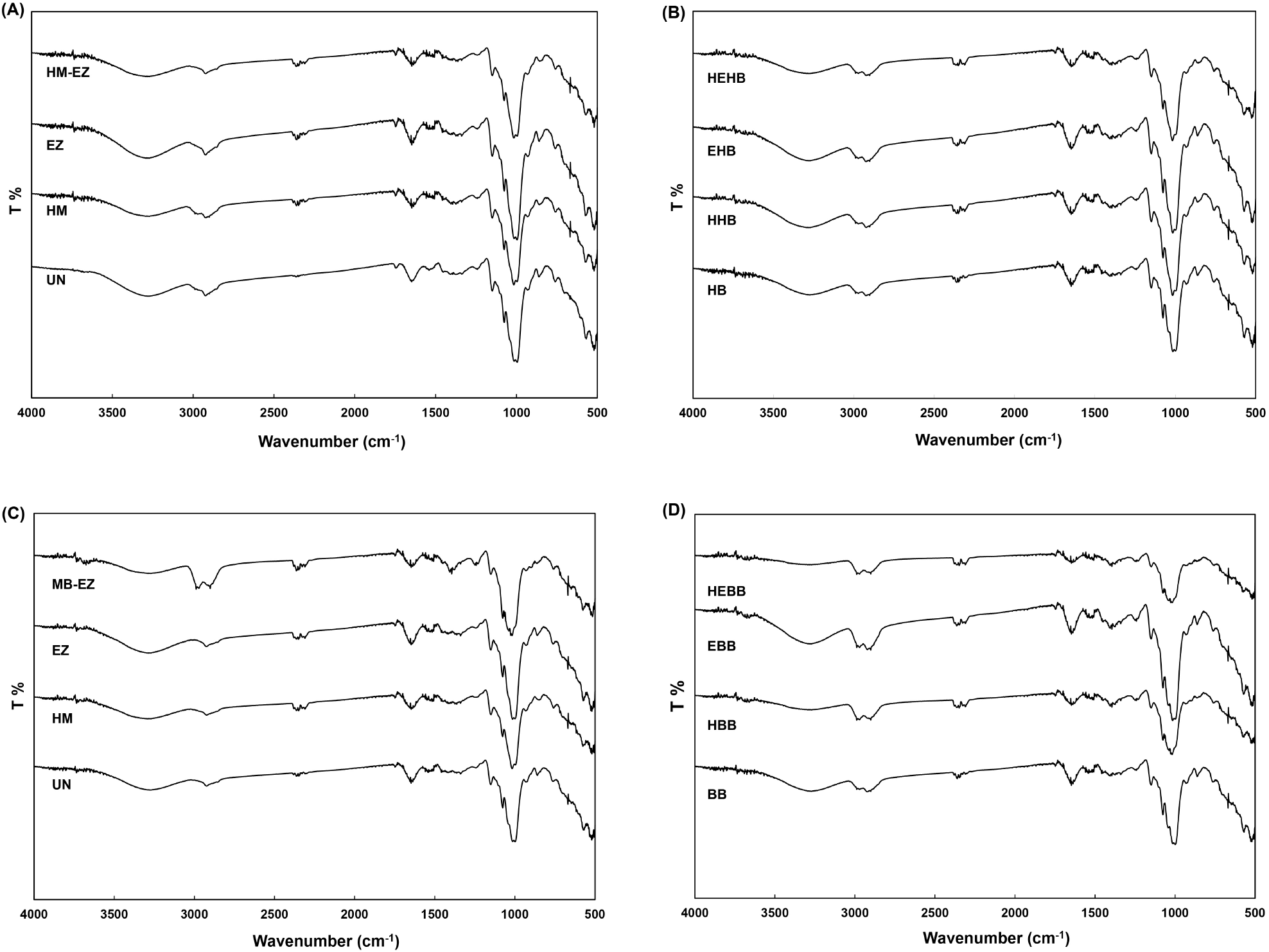
변성처리 보릿가루의 FT-IR 스펙트럼 분석 결과는 Fig. 3에 제시하였다. 모든 품종과 변성처리구는 3,000-3,800 cm−1(O-H stretching), 2,850-2,930 cm−1(C-H stretching), 1,630-1,750 cm−1(H-O-H bending) 및 950-1,200 cm−1(C-O, C-C, C-O-C stretching) 구간에서 전분 및 다당류의 전형적인 피크를 나타냈으며, 896 cm−1에서 β-glucosidic 결합 피크가 확인되었다(Warren 등, 2016; Zhang 등, 2018; Zhao 등, 2020b). 메성 쌀보리 품종인 소강과 흑누리의 효소처리구와 복합처리구는 1,050 cm−1에서 β-glucosidic 결합(C-O-C) 진동 피크가 증가하여 전분 사슬 간 결합 질서도가 향상된 것으로 나타났다(Li 등, 2023). 찰성 쌀보리 품종인 누리찰과 보석찰의 습열처리구와 복합처리구는 950-1,200 cm−1 영역의 피크가 완만해지고, 3,300 cm−1 부근의 피크가 넓게 나타나 수소결합 재배열과 아밀로오스-아밀로펙틴 간 상호작용이 약화된 것으로 확인되었다(Lian 등, 2014; Pozo 등, 2018). 모든 변성처리구는 무처리구에 비해 3,300-3,800 cm−1영역의 피크 강도가 감소하였으며, 이는 결합수 손실과 수소결합 감소에 따른 전분 구조 재배열을 의미한다(Jan 등, 2017). 효소작용으로 인해 메성 쌀보리의 전분 결정성이 증가된 반면, 찰성 쌀보리 품종에서는 습열 및 복합처리에 의해 결합 구조가 약화되는 경향을 보였다. 보릿가루의 변성처리 방법에 따라 전분의 β-glucosidic 결합 질서도, 수소결합 상태 및 결정성이 변화하였으며, 이는 보릿가루의 구조적 안정성과 점도, 소화율 등의 특성에 영향을 미친다.
Fig. 3.
Fourier transform infrared spectrum of the physically and biologically modified barley flours.
(A), Sogang; (B), Huknuri; (C), Nulichal; (D), Boseokchal. Treatment method: UN, untreated; HM, heat-moisture; EZ, enzyme; HM-EZ, heat-moisture & enzyme.
Download Original Figure
4. 요약
본 연구에서는 메성 쌀보리 품종인 소강과 흑누리, 찰성 쌀보리 품종인 누리찰과 보석찰에 습열처리, 효소처리 및 복합처리를 적용하여 변성처리 보릿가루의 이화학적 특성 변화와 전분 구조적 변화를 비교 ․ 분석하였다. 변성처리 방법에 따라 보릿가루의 수분함량과 수분활성도는 전반적으로 감소하여 고온 및 효소 반응에 따른 수분 제거 효과가 확인되었으며, 색도는 고온처리에 따른 갈변 반응으로 L*값이 감소하고, a*이 증가하였다. 아밀로오스 함량은 메성 쌀보리 품종에서 감소하고 찰성 쌀보리 품종에서 증가하였으며, 손상전분 함량은 습열 및 복합처리구에서 높게 나타나 전분 과립의 팽윤과 열변성에 의한 물리적 손상이 증가한 것으로 해석된다. 입도분석 결과, 변성처리 후 보릿가루의 입자 크기가 전반적으로 감소하고 분포가 세분화되었다. SEM 관찰 결과, 과립 표면이 거칠고 불규칙한 형태로 변화하였으며, 변성처리 방법에 따라 팽윤과 균열, 미세기공 형성, 미세입자 증가 및 층상 구조 형성이 확인되었다. X-선 회절도 분석에서는 모든 변성처리구가 A형 결정 구조를 유지하였으나, 습열 및 복합처리구에서 V형 피크가 나타나 전분 구조의 재배열이 확인되었다. FT-IR 분석에서는 효소처리구와 복합처리구에서 β-glucosidic 결합 강도가 증가하여 전분 사슬 간 결합 안정성이 향상되었고, 찰성 쌀보리 품종은 수소결합 재배열로 결합이 약화되는 경향을 보였다. 본 연구 결과, 변성처리 방법에 따라 보릿가루의 전분 구조와 결합 안정성 및 결정성이 달라졌으며, 습열처리구와 복합처리구는 전분 과립의 팽윤과 손상전분 생성을 통해 구조적 재배열을 형성하였고, 효소처리구는 과립 표면의 미세 기공 형성과 β-glucosidic 결합 안정성 향상을 통해 전분의 미세구조를 변화시켰다. 따라서 보리 품종과 변성처리 방법이 보릿가루의 입자 구조와 전분 결합 특성에 미치는 영향을 분석한 본 연구의 결과는 보리를 활용한 식품산업에서 제품 특성에 적합한 물리 ․ 화학적 특성을 유도하기 위한 가공 조건 설정의 기초자료로 활용될 수 있을 것으로 생각된다.
Acknowledgements
This work was supported by a Research promotion program of SCNU.
References
AOAC. Official Methods of Analysis.14th edAssociation of Official Analytical Chemists. Washington DC, USA: p. 31-47 1984;

Baek SY, Lee YJ, Jang GY, Kim MY, Oh NS, Lee MJ, Kim HY, Lee JS, Jeong HS. Functional components of barley bran with different particle sizes and cultivars. J Korean Soc Food Sci Nutr. 46:1171-1177 2017;

Choi HD. Molecular structure of β-Glucan in waxy and non-waxy barley. Bulletin Food Technol. 13:84-97 2000;

Chung HJ, Liu Q, Hoover R. Impact of annealing and heat-moisture treatment on rapidly digestible, slowly digestible and resistant starch levels in native and gelatinized corn, pea and lentil starches. Carbohydr Polym. 75:436-447 2009;


Dang LTK, Nishizu T. The influence of starch granule-associated protein removal on starch properties and retrogradation. Rev Agric Sci. 12:249-261 2024;


Dong H, Zhang Q, Gao J, Chen L, Vasanthan T. Preparation and characterization of nanoparticles from cereal and pulse starches by ultrasonic-assisted dissolution and rapid nanoprecipitation. Food Hydrocolloid. 122:107081 2022;


Gibson TS, Solah VA, McCleary BV. A procedure to measure amylose in cereal starches and flours with concanavalin A. J Cereal Sci. 25:111-119 1997;


Hernández AR. Chemical modification of starch with synthetic. In: Applications of Modified Starches. InTechOpen. London, England: p. 3-22 2018;

Jan KN, Panesar PS, Singh S. Process standardization for isolation of quinoa starch and its characterization in comparison with other starches. J Food Meas Charact. 11:1919-1927 2017;


Jayakody L, Hoover R. Effect of annealing on the molecular structure and physicochemical properties of starches from different botanical origins: A review. Carbohydr Polym. 74:691-703 2008;


Jeong SH, Song JY, Park HJ, Kim JM, No JH. The chemical composition and fermentation properties of colored barley. Korean J Food Cook Sci. 38:356-366 2022;

Jo GS, SIN JS, Kim JH. Measurement of particle size and particle size distribution. Polym Sci Technol. 15:198-208 2004;

Jyothi AN, Moorthy SN, Rajasekharan KN. Effect of cross-linking with epichlorohydrin on the properties of cassava (
Manihot esculenta Crantz) starch. Starch. 58:292-299 2006;


Juliano BO. Polysaccharide, proteins, and lipids of rice.2nd ed In: Rice: Chemisrty and technology. American Association of Cereal Chemists. MN, USA: p. 59-120 1985;

Kim HJ. Physicochemical properties of rice flour extrudates treated with thermostable α-amylase. MS Thesis. Sunchon National University. Korea: p. 1-80 2012;

Kim RY, Park JH, Kim CS. Effects of enzyme treatment in steeping process on physicochemical properties of wet-milled rice flour. J Korean Soc Food Sci Nutr. 40:1300-1306 2011;


Lacerda LD, Leite DC, da Silveira NP. Relationships between enzymatic hydrolysis conditions and properties of rice porous starches. J Cereal Sci. 89:102819 2019;


Lee DJ, Choi SM, Lim ST. Effect of hydrothermal and enzymatic treatments on the physicochemical properties of waxy maize flour. Korean J Food Sci Technol. 48:165-171 2016;


Lee JE, Jun JY, Kang WS, Lim JD, Kim DE, Lee KY, Ko SH. Effect of particle size on the solubility and dispersibility of endosperm, bran, and husk powders of rice. Food Sci Biotechnol. 17:833-838 2008;

Lee JS. Effects of dimethipin on α-amylase activity of barley seeds. J Environ Sci. 16:409-414 2007;


Lee KB. Industrialization trend of natural ingredient with clean label focusing on ingredion clean label products. Food Ind Nutr. 20:11-14 2015;

Lindeboom N, Chang PR, Tyler RT. Analytical, biochemical and physicochemical aspects of starch granule size, with emphasis on small granule starches: A review. Starch/Stärke. 56:89-99 2004;


Liu Q, Shi J, Jin Z, Jiao A. Development and characterization of resistant starch produced by an extrusion-debranching strategy with a high starch concentration. Food Hydrocoll. 136:1-7 2023;


Mariscal-Moreno RM, Figueroa-Cárdenas JDD, Santiago-Ramos D, Rayas-Duarte P. Amylose lipid complexes formation as an alternative to reduce amylopectin retrogradation and staling of stored tortillas. Int J Food Sci Technol. 54:1651-1657 2019;


Mok CG. Damage and change in moisture sorption characteristics of wheat starch by ball milling. J Food Technol. 3:52-64 1990;

Monteiro CA, Cannon G, Levy RB, Moubarac JC, Louzada ML, Rauber F, Khandpur N, Cediel G, Neri D, Martinez-Steele E, Baraldi LG, Jaime PC. Ultra-processed foods: What they are and how to identify them. Public Health Nutr. 22:936-941 2019;




Nawaz H, Waheed R, Nawaz M, Shahwar D. Physical and chemical modifications in starch structure and reactivity. In: Chemical Properties of Starch. In: Emeje M, editor.(Editor)IntechOpen. London, England: p. 1-20 2020;


Neogi S, Dey A, Chaterjee PK. Corn starch industry wastewater pollution and treatment processes: A review. J Biodivers Environ Sci. 12:283-293 2018;

Park SM, Choi YM, Kim YH, Ham HM, Jeong HS, Lee JS. Antioxidant content and activity in methanolic extracts from colored barley. J Korean Soc Food Sci Nutr. 40:1043-1047 2011;


Pomeranz Y. Criteria of flour quality. In: Wheat Chemistry and Technology. AACC. St Paul, MN, USA: p. 76-78 1988;

Pozo C, Rodríguez-Llamazares S, Bouza R, Barral L, Casta˜no J, Müller N, Restrepo I. Study of the structural order of native starch granules using combined FTIR and XRD analysis. J Polym Res. 25:1-8 2018;


Sirisoontaralak P, Noomhorm A. Changes to physicochemical properties and aroma of irradiated rice. J Stored Prod Res. 42:264-276 2006;


Song ES, Park SJ, Woo NRA, Won MH, Choi JS, Kim JG, Kang MH. Antioxidant capacity of colored barley extracts by varieties. J Korean Soc Food Sci Nutr. 34:1491-1497 2005;


Song Z, Zhong Y, Tian W, Zhang C, Hansen A, Blennow A, Liang A, Guo D. Structural and functional characterizations of α-amylase-treated porous popcorn starch. Food Hydrocoll. 108:105606 2020;


Tanwar R, Panghal A, Kumari A, Chhikara N. Effect of hydrothermal treatments on physicochemical, rheological and nutritional properties of millet: An analytical review. Grain Oil Sci Technol. 8:147-162 2025;


Uthumporn U, Zaidul ISM, Karim AA. Hydrolysis of granular starch at subgelatinization temperature using a mixture of amylolytic enzymes. Food Bioprod Process. 88:47-54 2010;


Waliszewski KN, Aparicio MA, Bello LA, Monroy JA. Changes of banana starch by chemical and physical modification. Carbohydr Polym. 52:237-242 2003;


Woo SM, Kim TY, Yeo SH, Kim SB, Jeong YJ. Properties of alcohol fermentation from barley treated with non-steam and steam. Korean J Food Preserv. 14:201-206 2007;

Yin E. Physical properties of food powders as affected by water activity. MS Thesis. Gyeongsang National University. Jinju, Korea: p. 1-62 2008;

Yoo JS, Lee MJ, Park HS, Cho YC, Lee JH, Ha KY. The physical and pasting properties of parboiled rice using glutinous rice cultivars. Food Eng Prog. 17:388-395 2013;


Yoon YM, Kim KH, Kang TG, Kang SW, Kang HJ, Kang CS, Kim YK, Park CS, Cho SW. Evaluation of Starch Properties of Korean barley (
Hordeum vulgare L.) cultivars. Korean J Breed Sci. 51:73-85 2019;


Zavareze EDR, Storck CR, de Castro LAS, Schirmer MA, Dias ARG. Effect of heat-moisture treatment on rice starch of varying amylose content. Food Chem. 121:358-365 2010;


Zhang H, Zhang N, Xiong ZQ, Wang GQ, Xia YJ, Lai P, Ai L. Structural characterization and rheological properties of β-D-glucan from hull-less barley (
Hordeum vulgare L. var. nudum Hook. f.). Phytochemistry. 155:155-163 2018;



Zhao K, Zhang B, Su C, Gong B, Zheng J, Jiang H, Zhang G, Li W. Repeated heat-moisture treatment: A more effective way for structural and physicochemical modification of mung bean starch compared with continuous way. Food Bioprocess Technol. 13:452-461 2020a;


Zhao Y, Zhou HM, Huang ZH, Zhao RY. Different aggregation states of barley β-glucan molecules affects their solution behavior: A comparative analysis. Food Hydrocolloids. 101:105543 2020b;

