Food Science and Preservation
The Korean Society of Food Preservation
Research Article

아쿠아파바 기반 머랭 쿠키의 품질에 대한 잔탄검 첨가의 효과

문선미https://orcid.org/0009-0005-5998-9460, 김양지https://orcid.org/0009-0003-9814-487X, 김석중*https://orcid.org/0000-0002-2162-6323
Sunmi Moonhttps://orcid.org/0009-0005-5998-9460, Yangji Kimhttps://orcid.org/0009-0003-9814-487X, Seok Joong Kim*https://orcid.org/0000-0002-2162-6323
동덕여자대학교 식품영양학과
Department of Food Science and Nutrition, Dongduk Women’s University, Seoul 02748, Korea
*Corresponding author Seok Joong Kim Tel: +82-2-940-4466, E-mail: skim@dongduk.ac.kr

Citation: Moon S, Kim Y, Kim SJ. Effect of xanthan gum addition on the quality characteristics of aquafaba-based meringue cookies. Food Sci. Preserv., 32(5), 915-927 (2025)

Copyright © The Korean Society of Food Preservation. This is an Open Access article distributed under the terms of the Creative Commons Attribution Non-Commercial License (http://creativecommons.org/licenses/by-nc/4.0) which permits unrestricted non-commercial use, distribution, and reproduction in any medium, provided the original work is properly cited.

Received: Sep 26, 2025; Revised: Sep 29, 2025; Accepted: Oct 01, 2025

Published Online: Oct 31, 2025

Abstract

Aquafaba has attracted attention as a promising substitute for egg whites due to its excellent foaming properties; however, it still has limitations in fully replicating the texture and functional characteristics of egg whites, particularly in products such as meringue cookies. In this study, the effect of xanthan gum addition on improving the quality of meringue cookies made with aquafaba as an egg white substitute was investigated. Xanthan gum demonstrated superior enhancement of aquafaba’s foaming stability and firmness compared to guar gum and gum arabic. When added at concentrations ranging from 0.1 to 1.5% (w/w), xanthan gum reduced bubble size and increased both the viscosity and firmness of the aquafaba meringue batter, thereby improving foam stability. Analysis of the final meringue cookies showed that the sample containing 0.5% xanthan gum most closely resembled egg white-based cookies in terms of appearance and crust texture. Additionally, it exhibited a denser internal pore structure and greater volume, indicating an overall enhancement in product quality. These results suggest that the addition of 0.5% xanthan gum is optimal for producing aquafaba-based meringue cookies with structural and textural properties comparable to those made with egg whites.

Keywords: aquafaba; meringue cookie; xanthan gum; texture; foam

1. 서론

비건 식품 시장의 확대와 함께 유제품 및 계란을 대체할 수 있는 식물성 소재에 대한 관심이 증가하고 있다. 특히 계란은 거품 형성, 유화, 점도 조절 등의 기능적 특성을 동시에 요구하는 제과 ․ 제빵 및 소스류에서 핵심적인 원료로 사용되므로(Razi 등, 2023), 이를 대체할 수 있는 소재의 개발은 비건 식품 산업의 주요 과제 중 하나로 부각되고 있으며, 특히 병아리콩(chickpea, Cicer arietinum L.)에서 얻어진 아쿠아파바(aquafaba)가 주목받고 있다(He 등, 2021a). 아쿠아파바는 병아리콩, 렌틸콩(Lens culinaris), 완두콩(Pisum sativum) 등의 콩류를 삶거나 통조림을 제조하는 과정에서 생성되는 점성의 액체 부산물로, 단백질, 다당류, 사포닌, 아이소플라본을 함유하고 있으며, 특히 병아리콩 아쿠아파바는 비린 맛이나 이취가 적고 우수한 기포 형성 및 유화 특성을 지녀 식품 적용 가능성이 높다고 보고되어 있다(He 등, 2021a; Mustafa 등, 2018).

계란 흰자는 약 11%의 단백질을 함유하며, 이 중 오발부민(ovalbumin)이 약 54%로 가장 높은 비율을 차지한다(Mine, 1995). 오발부민은 휘핑 과정에서 공기-물 계면에 빠르게 흡착 ․ 변성되어 계면활성제로 작용하며, 다른 단백질과 상호작용하여 점탄성 단백질 필름을 형성함으로써 거품 형성

과 안정성에 기여한다(Godefroidt 등, 2019). 반면 아쿠아파바는 단백질 함량이 약 1% 정도로 낮아, 사포닌의 계면활성과 수용성 탄수화물의 점도 증진 효과의 도움을 받아 거품이 형성되는 것으로 알려져 있다. 하지만 이러한 아쿠아파바의 거품은 단백질 필름 기반의 계란 흰자 거품에 비해 안정성이 낮은 한계를 보인다(Ates 등, 2025; Mustafa 등, 2018; Stasiak 등, 2023).

이에 따라 아쿠아파바의 거품 특성을 개선하기 위한 다양한 접근이 시도되었다. 추출 조건의 최적화(Choden 등, 2023; de Barros Miranda 등, 2024; Lafarga 등, 2019), 초음파 처리(Meurer 등, 2020), 재가열 농축(Koriyama 등, 2025), 단백질 농축물 및 에탄올 추출 건조물의 활용(Buhl 등, 2019; He 등, 2024) 등을 통해 단백질 및 기능 성분의 함량을 높이는 연구가 이루어지고 있다. Yoon 등(2023)은 농축 아쿠아파바를 사용한 머랭 쿠키가 계란 흰자 기반 제품과 유사한 품질 특성을 나타낸다고 보고하였다. 그러나 이와 같은 농도 증진 공정은 추가적인 에너지와 비용이 소요되며, 아쿠아파바를 식품 부산물로써 활용한다는 본래의 목적과 상충될 수 있다. 이에 따라 추가적인 처리 없이 비농축 아쿠아파바의 기능성을 개선할 수 있는 대안으로, 수용성 다당류, 유화제, 산류 등의 첨가에 대한 연구가 주목받고 있다(Arozarena 등, 2001; Nguyen 등, 2021a; Nguyen 등, 2021b; Tufaro와 Cappa, 2023). 특히 수용성 다당류(hydrocolloids)는 수용액의 점도를 증가시키거나 젤 네트워크 형성을 통해 거품으로부터의 수분 손실 및 기포의 합침을 지연시키거나 단백질과의 상호작용을 통해 복합체를 형성함으로써 계면활성을 조절하여 거품의 안정성을 높일 수 있는 것으로 알려져 있다(Kruk 등, 2021; Li 등 2023). 그중 잔탄검(xanthan gum)은 Xanthomonas campestris에 의해 생성되는 세포외 다당류로, 냉수에서도 잘 용해되며 점도 증가 효과가 탁월하여 아쿠아파바 거품의 안정성 증진에 활용 가능성이 높다(Gu 등, 2023; Xie와 Hettiarachchy, 1998). Crawford 등(2023)은 잔탄검 첨가 및 pH 조절을 통해 아쿠아파바의 점도 증가와 배수 감소 효과를 통해 거품 안정성이 향상되었음을 보고하였고, Nguyen 등(2021b)은 케이크 제조 시 pH 조절, 염 첨가, 잔탄검 첨가가 아쿠아파바의 물성 및 기포 특성 개선에 효과적이라고 하였다.

머랭은 계란 흰자에 설탕을 넣어 휘핑하여 얻어지는 거품을 기반으로 한 식품으로 가열 및 건조 과정 동안 거품 구조의 안정성과 형태 유지가 매우 중요하다(McGee, 2004; Vega와 Sanghvi, 2012). 아쿠아파바를 사용한 머랭 쿠키 관련 연구를 살펴보면, Stantiall 등(2018)은 병아리콩 아쿠아파바 머랭 쿠키가 색상 및 기호성이 계란 흰자 머랭 쿠키와 유사하였으나 거품 형성 능력과 안정성은 낮다고 하였고, Laursen 등(2025)은 머랭 반죽의 오버런과 및 텍스처에 영향없이 계란 흰자의 25%를 아쿠아파바로 대체할 수 있다고 보고하였다. 반면, 초음파 추출 아쿠아파바를 사용하면 머랭 쿠키의 텍스처와 색상이 개선될 수 있으며(Meurer 등, 2020), 농축 아쿠아파바 사용으로 하는 경우 계란 흰자 및 시판 대체제 사용 머랭 쿠키 대비 우수한 품질의 쿠키를 제조할 수 있다고 보고되었다(Sebii 등, 2025). 첨가물 처리와 관련해서는 구아검(guar gum)과 젖산(pH 4)의 병용이 아쿠아파바의 거품 특성 향상에 기여하였으나, 머랭 쿠키 구조 유지에서는 구아검 첨가는 불리한 반면 젖산 첨가가 유리하다고 보고되었다(Tufaro 등, 2023). 잔탄검 첨가 효과와 관련해서는 아쿠아파바 자체의 거품 안정성 향상이나 아쿠아파바 케이크의 품질 개선 연구 등이 보고되었으나(Crawford 등, 2023; Nguyen 등, 2021b), 아쿠아파바 머랭 쿠키의 품질과 관련된 연구는 부족한 편이다.

따라서 본 연구에서는 비농축 병아리콩 아쿠아파바를 기반으로 한 머랭 쿠키의 품질 개선을 목적으로, 잔탄검의 첨가가 아쿠아파바 반죽, 그리고 최종 쿠키의 형상과 텍스처에 미치는 영향을 분석하고, 이를 통해 최적의 잔탄검 첨가 농도를 도출하고자 하였다.

2. 재료 및 방법

2.1. 실험재료

본 실험에 사용된 병아리콩은 두보식품(Doobo, Seoul, Korea)에서, 머랭 쿠키 제조를 위한 계란과 설탕(CJ Cheiljedang, Seoul, Korea)은 인근 마트에서 구매하였다. 잔탄검, 구아검, 아라비아검(gum arabic)은 ES식품원료(ES Ingredients Co., Ltd., Gyeonggi, Korea), 사포닌 표준품인 soyasaponinI은 Sigma-Aldrich 사(St. Louis, MO, USA) 제품이었으며 기타 시약은 분석용 등급을 사용하였다.

2.2. 아쿠아파바의 제조

병아리콩 아쿠아파바는 He 등(2021b)의 방법을 일부 변형하여 제조하였다. 병아리콩에 증류수를 1:4(w/w) 비율로 첨가한 후 4°C에서 16시간 동안 침지하였다. 그 다음 침지수를 제거하고 불린 콩을 증류수로 1회 세척하였다. 이후 증류수를 1:3(w/w) 비율로 첨가한 후, 고압증기멸균기(BF-60AC, BioFree, Seoul, Korea)를 이용해 121°C에서 30분간 고압가열처리하였다. 처리된 시료는 상온에서 24시간 동안 정치시킨 후, 스테인리스 체를 사용하여 병아리콩으로부터 조리수를 분리하여 아쿠아파바로 사용하였다. 아쿠아파바는 -18°C에서 냉동 보관하였으며, 사용 직전에 실온에서 해동하여 상온에 도달한 후 실험에 사용하였다.

2.3. 아쿠아파바의 성분 분석

아쿠아파바의 고형분 함량은 아쿠아파바 5 g을 15 mL 튜브에 담고 동결 건조(Alpha 1-4, Martin Christ, Osterode am Harz, Germany)한 후, 잔여물의 무게로 측정하였으며, 당도는 Brix 당도계(PAL-1, Atago Co., Ltd., Tokyo, Japan)를 사용하여 측정하였다.

아쿠아파바의 일반 성분 분석은 AOAC(2005) 기준에 따라 수행하였다. 수분 함량은 105°C에서 상압 가열 건조법을, 조회분은 550°C에서 건식회화법을, 조단백질 함량은 Kjeldahl법을, 조지방 함량은 Soxhlet 추출법을 사용하여 측정하였다. 이들 분석을 통해 얻은 값을 제외한 나머지 함량은 탄수화물로 계산하였고 조섬유 함량은 변형된 Henneberg-Stohmann법을 이용하여 측정하였다.

아쿠아파바의 사포닌 함량은 He 등(2024)의 방법을 바탕으로 분석하였다. 아쿠아파바 100 μL에 50%(v/v) 메탄올 400 μL, 8%(w/v) 바닐린 500 μL, 72%(v/v) 황산 5,000 μL를 첨가한 후 10초간 교반하여 혼합하고, 65°C 수욕에서 10분간 가열하였다. 이후 21°C 수욕에서 5분간 식힌 뒤, 544 nm에서 흡광도(Optizen, Mecasys Co., Ltd., Daejeon, Korea)를 측정하였다. 사포닌 함량 분석을 위한 표준품은 soyasaponinI을 0, 0.25, 0.5, 1, 2, 3 mg/mL 농도로 준비하여 사용하였다.

2.4. 아쿠아파바의 거품 특성 측정

아쿠아파바의 거품 형성능 및 거품 안정성은 Mustafa 등(2018)의 방법에 따라 측정하였다. 아쿠아파바 5 mL에 증류수 10 mL를 첨가하여 총 15 mL(VSample)의 시료를 준비한 후, 이를 250 mL 유리 비커에 담아 고속균질기(T10 basic ULTRA-TURRAX®, IKA, Osaka, Japan)를 이용해 11,000 rpm에서 5분간 균질화하여 거품을 생성하였다. 생성된 거품은 50 mL 메스실린더에 조심스럽게 옮긴 뒤, 0분(VF0) 및 30분(VF30) 후의 부피를 측정하여 다음 식에 따라 거품 형성능(1) 및 거품 안정성(2)을 계산하였다.

Foaming capacity(%) = V F 0 V Sample × 100
(1)
Foam stability(%) = V F3 0 V F0 × 100
(2)

아쿠아파바 거품의 견고성(firmness)은 Nguyen 등(2021a)의 방법에 준하여 텍스처 측정기(EZ Test Shimadzu, Kyoto, Japan)를 사용하여 측정하였다. 먼저, 각 시료 100 mL에 대해 반죽기(HM 3827, Sundem, Germany)를 사용하여 3단으로 5분간 휘핑하여 거품을 생성한 후, 생성된 거품을 원통형 아크릴 케이스(직경 60 mm, 높이 30 mm)에 가득 채운 뒤 표면을 평평하게 깎아 거품의 견고성 측정 시료로 준비하였다. 견고성 측정은 직경 38.1 mm, 높이 30 mm의 cylinder probe를 사용하여, test speed 2.0 mm/sec, distance 50%, trigger force 5 g 조건에서 수행하였으며 최대로 걸리는 힘(g)을 견고성으로 하였다.

비교군으로 사용된 계란 흰자 역시 동일한 조건으로 거품 형성능 및 안정성, 그리고 거품의 견고성을 평가하였다. 또한, 아쿠아파바 거품 특성에 대한 검류의 영향을 분석하기 위하여 잔탄검, 구아검, 아라비아검을 아쿠아파바 대비 0.1-1.5%(w/w)의 농도로 첨가한 후, 동일한 방법으로 거품 형성능 및 안정성, 거품의 견고성을 측정하였다.

2.5. 머랭 반죽 및 쿠키의 제조

머랭 쿠키는 Fuentes Choya 등(2023)의 방법에 준하여 제조하였으며 각 쿠키 제조를 위한 성분의 구성은 Table 1에 나타낸 바와 같았다. 먼저 계란 흰자, 아쿠아파바, 그리고 0.1-1.5% (w/w) 잔탄검 첨가 아쿠아파바 각각을 50 g 취하여 500 mL 유리 계량컵에 넣고 핸드믹서(OFM-309, Offel, Gyeongju, Korea)를 사용하여 1단에서 1분간 혼합한 후, 설탕 50 g을 첨가하였다. 이후, 계란 흰자는 3단에서 4분, 아쿠아파바 및 잔탄검 첨가 아쿠아파바는 8분 동안 교반하였다. 그 후, 큰 기포를 제거하고 잔여 설탕을 녹이기 위해 1단에서 1분간 교반한 후 반죽을 마무리하였다.

Table 1. Composition of ingredients for meringue cookie preparation
Ingredients (g) Meringue cookie
EW1) AQ2) XG-AQ3)
0.1% 0.5% 1.0% 1.5%
Egg white 50 0 0 0 0 0
Aquafaba 0 50 49.95 49.75 49.5 49.25
Sugar 50 50 50 50 50 50
Xanthan gum 0 0 0.05 0.25 0.5 0.75
Total 100 100 100 100 100 100

EW, egg white.

AQ, aquafaba.

XG-AQ, aquafaba with 0.1-1.5% (w/w) xanthan gum.

Download Excel Table

완성된 반죽은 짤주머니에 담아 유산지 위에 직경 25-27 mm 범위 내에서 일정하게 짜고, 윗불과 아랫불이 각각 95°C로 예열된 오븐(RJDO-103, Rajin Flobe Co., Ltd., Gyeonggi, Korea)에서 1시간 동안 구운 후, 실온에서 1시간 동안 냉각시켜 머랭 쿠키를 완성하였다. 이후 분석 전까지 밀봉하여 데시케이터에 보관하였다.

2.6. 머랭 반죽의 특성 분석

각 머랭 반죽의 특성으로서 반죽 내 기포의 형상, 반죽의 겉보기 점도(apparent viscosity), 비중 및 견고성을 분석하였다.

반죽 내 기포의 형상 관찰을 위해 먼저, 직경 7 mm의 구멍을 가진 200 μm 두께의 플라스틱 필름을 슬라이드글라스 위에 올린 후, 해당 구멍에 반죽을 한 방울 올리고 커버 슬라이드를 덮었다. 이후, Image-Pro Plus 소프트웨어(version 5.1, MediaCybernetics, Silver Spring, MD, USA)가 설치된 광학현미경(200배, BX512TF, Olympus, Tokyo, Japan)을 사용하여 기포의 이미지를 촬영하였다. 그리고 촬영된 이미지에서 각 기포의 지름을 측정한 후 5 μm 간격으로 구분하여 전체 기포 수 대비 각 크기 구간별 기포 분포를 백분율로 나타내었다(Poonnakasem 등, 2015).

머랭 반죽의 겉보기 점도는 plate type(RPT-50) spindle이 장착된 레오미터(RSX-CPS, Ametek Brookfield, Middleboro, MA, USA)를 사용하여 측정하였다(Alavi 등, 2020). 즉, 20°C 조건에서 바닥면과 spindle 사이에 시료를 넣고 간격을 3 mm로 조정한 뒤, 전단 속도(shear rate)를 0.001-100 s−1의 범위로 변화시키며 겉보기 점도의 변화를 분석하였다.

반죽의 비중은 AACC법 10-15(2000)에 따라 측정하였다. 100 mL 스테인리스 비중컵에 반죽을 가득 담고 표면을 평평하게 깎아 무게를 측정한 후, 비중컵에 담긴 물 100 g에 대한 머랭 반죽의 비중을 계산하였다.

머랭 반죽의 견고성은 텍스처 측정기를 사용하여 측정하였다. 이를 위해, 원통형 아크릴 케이스(직경 60 mm, 높이 30 mm)에 머랭 반죽을 가득 채운 후, 상단 표면을 수평하게 깎아 측정 시료를 준비하였다. 그 다음 직경 38.1 mm, 높이 30 mm의 cylinder probe를 사용하여, test speed 2.0 mm/sec, distance 50%, trigger force 5 g의 조건에서 얻어지는 힘(g)을 측정한 다음, 가장 높은 힘의 값을 견고성으로 하였다.

2.7. 머랭 쿠키의 품질 분석

머랭 반죽을 구운 후 얻어진 최종 제품의 품질 특성으로는 머랭 쿠키의 외형 및 내부 구조, 텍스처, 비용적 및 색도를 분석하였다.

머랭 쿠키의 외형은 일반 스마트폰 카메라(Galaxy S21 5G, Samsung Electronics Co., Ltd., Gyeonggi, Korea)를 사용하여 촬영하였다. 내부 구조를 관찰하기 위해서는 먼저 기공의 형태가 손상되지 않도록 주의하여, 날카로운 칼날을 사용해 중심부를 기준으로 반으로 자른 후, 단면을 HK Basic 소프트웨어(version x64, 3.7.6522, KOPTIC, Yongin, Korea)가 설치된 광학현미경(10배, Nikon SMZ800N, Nikon, Tokyo, Japan)으로 촬영하였다.

머랭 쿠키의 텍스처는 텍스처 측정기를 사용하여 껍질과 내부의 경도(hardness)를 측정하였다(Yuceer과 Caner, 2021). 껍질의 경도는 직경 3 mm의 얇고 긴 probe를 사용하여, test speed 1.0 mm/sec, distance 50%, trigger force 5 g 조건에서 측정하였으며, 가장 높은 힘의 값(g)을 경도로 정의하였다. 머랭 쿠키 내부의 경도를 측정하기 위해 먼저 쿠키 중심부를 기준으로 15×15×15 mm 크기로 자른 시료를 준비한 후 이 시료에 대해 껍질의 경우와 동일한 조건에서 내부 경도를 측정하였다.

머랭 쿠키의 비용적은 각 시료의 무게를 측정하고 종자 치환법 10-05(AACC, 2010)로 부피를 측정한 다음 식 (3)을 사용해 계산하였다.

Specific volume (mL/g) = Volume of meringue cookie (mL) Weight of meringue cookie (g)
(3)

머랭 쿠키의 색도는 쿠키의 평평한 바닥면을 기준으로 측정하였다. 색도는 색차계(CR-400, Konica Minolta Inc., Tokyo, Japan)를 사용하여, Hunter color system을 기준으로 명도(L*), 적색도(a*) 및 황색도(b*)를 측정하고 분석하였다. 보정에 사용된 표준 백색판의 값은 L*=94.77, a*=−0.60, b*=3.52였다.

2.8. 통계 처리

실험은 최소 3회 이상 반복하여 수행하였고 그 결과는 평균±표준편차로 나타내었다. 통계 분석은 PASW Statistics 18 (SPSS Inc., Chicago, IL, USA)을 사용하여 분산분석(ANOVA)을 실시하였고, 시료 간의 유의성 검증은 p<0.05에서 Tukey의 사후 검정을 이용하여 수행하였다.

3. 결과 및 고찰

3.1. 아쿠아파바의 성분

일반적으로 아쿠아파바의 성분과 함량은 병아리콩의 품종, 재배 환경, 및 아쿠아파바의 제조 조건에 따라 달라질 수 있다. 본 연구에서 병아리콩 100 g으로부터 얻어진 아쿠아파바는 226.8±75.6 g(data not shown)으로서 이의 고형분 함량 및 당도(수용성 고형분 함량)를 분석한 결과, 고형분 함량은 5.31%, 당도는 5.02 °Brix로 나타났다. 이는 He 등(2021a)이 보고한 고형분 함량 범위(5-8%) 내에 해당하며, 이들 고형분에는 탄수화물(당류 및 수용성/불용성 식이섬유), 저분자 단백질, 사포닌, 그리고 일부 마이야르 반응 생성물이 포함된다고 하였다.

일반 성분 함량(Table 2)도 기존의 다른 연구 결과와 유사하였다(Fuentes Choya 등, 2023; Grossi Bovi Karatay 등, 2022; He 등, 2021a; Raikos 등, 2020; Shim 등, 2018). 즉, 수분 함량은 94.79%로, Shim 등(2018)이 10가지 상업용 통조림 병아리콩 제품에서 얻은 값(92.98-95.12%) 및 He 등(2019)이 서로 다른 병아리콩 품종 5개에서 얻은 값(92.4-94.2%)과 유사하였다. 회분 함량은 0.42%로, Raikos 등(2020)이 병아리콩 통조림에서 분리한 아쿠아파바의 회분 함량과 유사하였으며 지방 함량은 0.01% 미만이었다. 단백질 함량은 아쿠아파바의 기능적 특성과 관련이 높은 지표로, 1.09%로 나타났으며, He 등(2021a)은 24 kDa 이하의 저분자 단백질이 0.5-1.72% 존재한다고 하였다. 다만, 식이섬유 함량은 0.04%로, 0.69% 정도 추출된 기존 연구(Raikos 등, 2020)보다 적은 값을 보였다.

Table 2. Composition of aquafaba
Aquafaba Content1)
Solid content (%) 5.31±0.06
Brix (°Brix) 5.02±0.15
Proximate composition (%) Moisture 94.79±0.00
Crude protein 1.09±0.05
Crude lipid 0.00±0.00
Crude ash 0.42±0.00
Crude fiber 0.04±0.01
Carbohydrate 3.69±0.04
Saponin (mg/mL) 4.35±0.46

Values are means±SD (n=3).

Download Excel Table

Stantiall 등(2018)은 병아리콩으로 제조한 아쿠아파바에 4.5 mg/g의 사포닌이 존재한다고 보고하였으며, 이는 본 연구에서 얻은 아쿠아파바와 유사한 수치를 나타내었다. Guclu-Ustundag 등(2007)에 따르면, 사포닌은 콩류 및 식물 생장 중의 생태적 및 농업적 조건, 유전적 기원, 수확 후 처리에 영향을 받는 2차 대사산물로, 트리테르펜이나 스테로이드에 당 사슬을 지니고 계면활성제로 작용할 수 있으며, 다양한 생리활성을 나타낸다고 알려져 있다.

이상의 결과로부터 본 연구에서 제조한 아쿠아파바는 전반적으로 기존 연구에서 얻어진 아쿠아파바와 전반적으로 유사한 성분 조성을 지닌 것으로 판단되었다.

3.2. 아쿠아파바의 거품 특성

계란 흰자나 아쿠아파바를 휘핑하여 형성된 거품은 연속상 액체에 공기가 기포 형태로 분산된 액체 거품의 일종이다. 이러한 액체 거품은 열역학적으로 불안정하며, 다른 분산계에 비해 수명이 짧은 것으로 알려져 있다. 거품의 불안정성은 주로 기포 사이의 얇은 액막(thin film)의 파괴, 액체의 배수(drainage), 기포의 불균등화(disproportionation), 그리고 기포 간 합침(coalescence) 등의 물리적 현상에 기인한다(Wilson, 1989). 따라서 이러한 불안정성을 억제하는 것은 안정된 거품 구조가 요구되는 머랭과 같은 거품 기반 식품을 제조하는 데 매우 중요한 요소이다.

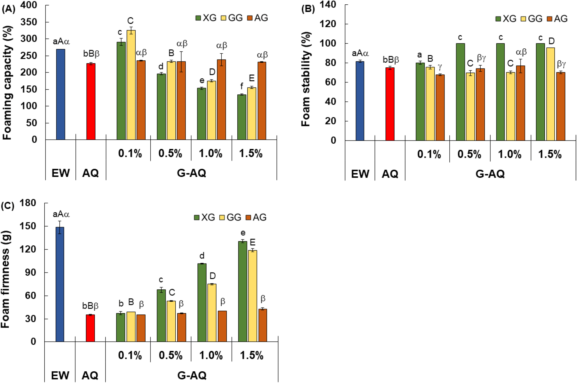
아쿠아파바의 거품 특성을 거품 형성능과 안정성, 그리고 견고성 측면에서 분석한 결과, 모든 지표에서 계란 흰자보다 낮은 값을 나타냈다(Fig. 1). 계란 흰자는 약 10.5%의 단백질을 포함하고 있으며, 그중 주요 단백질인 오발부민은 휘핑 과정에서 공기-물 계면에 빠르게 흡착하여 재배열 및 변성을 유도한다(Razi 등, 2023). 이 과정에서 형성된 점탄성 단백질 필름은 기포를 안정화시키는 데 중요한 역할을 하며, 이러한 특성으로 인해 계란 흰자는 머랭, 케이크, 쿠키, 무스 등 다양한 거품 기반 식품에 널리 사용된다(Duan 등, 2017; Mine, 1995).

kjfp-32-5-915-g1
Fig. 1. Foaming capacity (A), foam stability (B), and foam firmness (C) of whipped egg white (EW), aquafaba (AQ), and aquafaba with 0.1-1.5% (w/w) gum (G-AQ). In the aquafaba with gum, XG, xanthan gum; GG, guar gum; AG, gum arabic. Values are means±SD (n=3). Different lowercase (a-f), uppercase (A-E), or Greek (α-γ) letters on the bars indicate significant differences (p<0.05) among EW, AQ, and XG-AQ, GG-AQ, or AG-AQ groups, respectively, based on Tukey’s multiple comparison test.
Download Original Figure

반면, 아쿠아파바의 경우 제조 공정 중 물 속에서의 열처리로 인해 휘핑전에 이미 단백질이 열변성되고, 이로 인해 소수성 구조가 노출된다. 노출된 소수성 부위는 공기-물 계면에 흡착되며(Kargar와 Sourki, 2025), 아쿠아파바에 포함된 사포닌은 계면활성제로 작용하여 단백질과 함께 기포 형성에 기여하며 수용성 탄수화물은 연속상의 점도를 증가시켜 기포의 배수 및 합침을 억제함으로써 거품의 안정성을 향상시킨다(Ates 등, 2025). 그러나 Table 1에 나타나 있듯이 계란 흰자에 비해 현저히 낮은 단백질 함량은 아쿠아파바의 낮은 거품 특성과 관련이 깊다(He 등, 2021a).

이에 아쿠아파바의 거품 특성을 개선시키는 방안으로 잔탄검, 구아검, 아라비아검을 농도별로 첨가하고, 아쿠아파바의 거품 형성능, 안정성 및 견고성에 미치는 효과를 분석하였다(Fig. 1). 그 결과, 잔탄검과 구아검은 0.1% 농도에서 아쿠아파바는 물론 계란 흰자보다 높은 거품 형성능을 나타냈으며, 이후 농도 증가에 따라 점차 감소하는 경향을 보였다(Fig. 1A). 이는 수용성 검류의 첨가가 액체의 점도를 증가시켜 기포의 유지에는 기여하나, 과도한 점도 상승은 휘핑 과정에서 공기 유입을 저해하기 때문으로 판단된다(Saha와 Bhattacharya, 2010). 실제로 잔탄검과 구아검은 짧은 측쇄를 가지는 긴 사슬 구조로 물 속에서 수화되어 강한 점도 증진 효과를 보이며, 음이온성 성질을 갖는 잔탄검이 비이온성인 구아검보다 더 높은 점도 증진 효과를 보이는 것으로 알려져 있다(Gong 등, 2022). 두 검류 모두 0.1%의 낮은 농도에서는 거품 형성에 필수적인 공기 유입이 크게 제한되지 않으면서도, 점도 상승을 통해 기포 유지에 유리한 조건을 제공하지만 0.5% 이상의 농도에서는 점도 상승이 공기 유입을 방해하여 거품 형성능이 저하된 것으로 보인다. 그리고 동일 농도에서 잔탄검 첨가의 효과가 구아검 첨가 효과보다 낮았던 것도 잔탄검의 더 강한 점도 증진 효과(Gong 등, 2022)와 관련된다고 보여진다. 한편, 소량의 단백질이 존재하여 계면활성을 지닌 아라비아검은 거품 형성능에 거의 영향을 미치지 않았는데, 구형 구조로 인한 낮은 점도 증진 효과(Kersten 등, 2025)와 관련된다고 사료된다.

거품 안정성 분석(Fig. 1B)에 따르면, 잔탄검은 0.1% 농도에서 이미 계란 흰자 수준의 안정성을 보였으며, 0.5% 농도부터는 100% 수준의 안정성을 유지하였다. 이에 반해 구아검은 1.5% 농도까지 첨가해야 안정성 향상 효과를 나타냈으며, 아라비아검은 뚜렷한 효과를 보이지 않았다. 또한, 거품의 견고성은 잔탄검과 구아검 각각이 0.5% 농도부터 증가하는 경향을 보였으며, 이 중 잔탄검의 효과가 가장 우수하였다(Fig. 1C). 반면 아라비아검은 견고성 측면에서도 유의한 영향을 나타내지 않았다.

거품 기반 식품인 머랭 쿠키의 제조에서는 거품의 형성능뿐만 아니라, 반죽 준비 및 열처리 과정에서도 거품 구조의 안정적인 유지가 필수적이다(Vega와 Sanghvi, 2012). 따라서 아쿠아파바 머랭 쿠키의 품질 개선용 검류로서 거품 안정성 및 견고성이 우수한 잔탄검을 선정하였다.

3.3. 머랭 반죽의 특성

머랭 쿠키 제조를 위해서는 50% 설탕을 첨가하여 반죽을 제조하는데 설탕은 쿠키의 맛 향상 외에도 원료의 거품 특성에 영향을 준다(Hu와 Meng, 2024; Raikos 등, 2007). 그러므로 계란 흰자, 아쿠아파바, 0.1-1.5% 잔탄검 첨가 아쿠아파바를 사용하여 머랭 반죽을 제조한 다음, 반죽에서의 기포의 형상, 반죽의 점도, 비중 및 견고성을 비교하였다.

반죽 내 기포의 형상을 광학현미경으로 관찰한 결과, 계란 흰자 반죽보다 아쿠아파바 반죽에 상대적으로 큰 기포가 더 많이 존재하는 것으로 보였으며(Fig. 2), 기포 지름 분포를 분석한 결과(Fig. 3)에서도 더 큰 기포가 많이 존재함이 확인되었다. 이는 앞서 언급한 두 원료의 거품 특성 차이와 관련이 있을 것 판단된다. 즉, 계란 흰자의 경우, 단백질 필름에 의해 형성된 안정된 작은 기포가 주를 이루는 반면, 아쿠아파바는 기포의 불안정성으로 인해 배수나 기포의 합체 등이 발생하여 큰 기포가 형성된 것으로 보인다(Ates 등, 2025; Duan 등, 2017). 한편, 아쿠아파바에 0.1%의 잔탄검을 첨가한 경우, 작은 기포의 수가 증가하는 경향을 보였다(Figs. 23). 이는 잔탄검 첨가로 인한 반죽 점도의 증가가 기포의 배수 및 합체를 억제하여, 보다 안정된 작은 기포 형성을 가능하게 한 것으로 해석된다. 잔탄검 농도 증가에 따른 기포 크기 변화는 이미지에서 명확하게 확인하기는 어려웠으나(Fig. 2), 작은 크기 기포의 분포가 다소 증가하는 경향을 보였다(Fig. 3).

kjfp-32-5-915-g2
Fig. 2. Air bubble morphology in meringue batters made with egg white (EW), aquafaba (AQ) and aquafaba with 0.1-1.5% (w/w) xanthan gum (XG-AQ). Images of bubbles were captured using an optical microscope (200×).
Download Original Figure
kjfp-32-5-915-g3
Fig. 3. Proportion of bubble counts by pore size in meringue batters made with egg white (EW), aquafaba (AQ) and aquafaba with 0.1-1.5% (w/w) xanthan gum (XG-AQ). Bubble counts (%) was analyzed by measuring bubble diameters under optical microscope (200×), classifying them in 5 μm intervals, and expressing each size group as a percentage of the total bubble count.
Download Original Figure

각 반죽에 대해 0.001-100 s−1의 전단 속도 범위에서 겉보기 점도를 측정한 결과는 Fig. 4A와 같았다. 모든 반죽은 전단 속도의 증가에 따라 겉보기 점도가 감소하여 전단박화(shear thinning) 거동의 비뉴턴성 유체(Saha와 Bhattacharya, 2010) 특성을 보였다. 모든 전단속도 범위에서 아쿠아파바 머랭 반죽의 점도가 계란 흰자 머랭 반죽보다 낮았으나, 잔탄검의 첨가에 따라 점차 증가하였다.

kjfp-32-5-915-g4
Fig. 4. Viscosity (A), specific gravity (B) and firmness (C) of meringue batters made with egg white (EW), aquafaba (AQ) and aquafaba with 0.1-1.5% (w/w) xanthan gum (XG-AQ). Values are means±SD (n=3) and different superscript letters (a-e) on the bars indicate significant differences (p<0.05) by Tukey’s multiple comparison test.
Download Original Figure

한편, 머랭 반죽 내 기포 형태로 포집된 공기의 정도를 확인하기 위해 반죽의 비중을 측정(Song, 2013)하였다. Fig. 4B에 나타난 바와 같이, 아쿠아파바 반죽은 계란 흰자 반죽보다 비중이 낮아 휘핑 과정 중 더 많은 공기가 반죽에 포집되었음을 시사한다. 아쿠아파바에 0.1%의 잔탄검을 첨가한 경우, 비중이 소폭 증가하였으나, 그 이후 농도에서는 아쿠아파바보다 더 낮은 비중을 나타내었다. 특히, 0.5% 잔탄검 첨가군에서 가장 낮은 비중을 보여, 해당 농도가 아쿠아파바 반죽의 공기 포집에 가장 효과적인 수준임을 알 수 있다.

Fig. 4C에 나타낸 머랭 반죽의 견고성은 원료 거품의 견고성(Fig. 1C)에 비해 높았는데 이는 반죽 제조에서 첨가된 설탕이 반죽의 점도를 높이고 단백질 네트워크의 강도를 향상시켜 조밀하고 안정된 거품 형성에 도움을 주기 때문으로 사료된다(Hu과 Meng, 2024). 그럼에도 불구하고 아쿠아파바 반죽의 경도는 계란 흰자 반죽에 비해 유의하게 낮았다. 아쿠아파바에 잔탄검를 첨가할 경우, 0.5% 농도부터 반죽의 견고성은 유의적으로 증가하였고, 1.5% 농도에서는 계란 흰자 반죽과 유사한 수준에 도달하였다. 이는 잔탄검 첨가가 아쿠아파바 반죽의 구조적 강도가 향상시킨다는 것을 의미한다.

결론적으로, 아쿠아파바 반죽은 계란 흰자 반죽에 비해 상대적으로 큰 기포, 낮은 점도 및 낮은 비중을 나타내어, 공기 포집 능력은 우수하지만 견고성이 낮고 거품의 안정성이 떨어지는 특성을 보였다. 그러나 0.5% 이상의 잔탄검을 첨가하면 반죽의 점도 증가와 더불어 기포 크기가 감소하고 공기 포집량은 증가시키며, 견고성을 향상시켜 아쿠아파바 기반 머랭 반죽의 기포 안정성을 개선할 수 있음을 확인하였다. 다만, 잔탄검의 농도가 증가할수록 반죽의 점성 및 끈적거림이 증가하여, 이는 최종 머랭 쿠키의 형태 유지성 및 식감에 영향을 줄 가능성이 있는 것으로 판단된다.

3.4. 머랭 쿠키의 품질

머랭 쿠키 제조에서 중요한 평가 요소 중 하나는, 반죽을 짤주머니에 담아 일정하게 성형할 때 쉽게 무너지지 않고 견고한 뿔(stiff peak) 형태가 형성되는 것이다. 또한, 굽는 과정에서는 기포 내 공기가 열에 의해 팽창하고 수분이 증발하면서 내부 공간이 확대되며, 단백질이 응고되어 그 팽창된 기공 구조가 고정되는데 이 공정 중에도 형태가 유지되는 것이 제품 품질에 매우 중요하다(McGee, 2004; Vega와 Sanghvi, 2012).

머랭 쿠키의 외부 형상을 비교한 결과(Fig. 5A), 계란 흰자 머랭 쿠키는 상단에 특징적인 견고한 뿔 모양이 유지된 반면, 아쿠아파바 머랭 쿠키는 뿔 형태가 유지되지 못하고 붕괴되었다. 이는 아쿠아파바 반죽의 상대적으로 큰 기포 구조, 낮은 거품 안정성, 낮은 견고성 등과 관련된 것으로 판단된다. 한편, 잔탄검을 첨가하면 아쿠아파바 쿠키에 뿔 형태가 유지되기 시작하였는데, 이는 잔탄검에 의한 점도 및 견고성의 증가와 관련이 있는 것으로 보인다(Gong 등, 2022). 특히 0.5% 농도 첨가군에서 계란 흰자 머랭 쿠키와 가장 유사한 형태가 관찰되었다. 그러나 0.5%를 초과하는 잔탄검을 첨가했을 경우, 뿔의 형태가 구부러지는 현상이 나타났다. 이는 반죽의 점도와 견고성이 과도하게 증가하여, 짤주머니로 성형하는 과정에서 반죽이 쉽게 끊어지지 않고 길게 늘어지며 형성된 뿔이 중력에 의해 시간이 지나면서 구부러지는 현상으로 해석된다.

kjfp-32-5-915-g5
Fig. 5. Appearance (A) and internal structure (B) of meringue cookies made with egg white (EW), aquafaba (AQ) and aquafaba with 0.1-1.5% (w/w) xanthan gum (XG-AQ). Images of appearance and internal structure of meringue cookies were captured using smartphone camera and optical microscope (10×), respectively.
Download Original Figure

머랭 쿠키의 내부 구조를 비교하기 위해 절단면을 관찰한 결과(Fig. 5B), 아쿠아파바 머랭 쿠키의 단면은 계란 흰자 머랭 쿠키와 유사한 기공 크기와 형태를 보였다. 그러나 잔탄검 첨가에 따라 기공의 크기가 작아지고 구조가 보다 치밀해졌는데, 이는 반죽의 점도 상승으로 인해 오븐 내에서의 공기 팽창이나 수분 증발이 억제되면서 작은 기공 구조가 유지되었기 때문으로 추정된다. 한편, 잔탄검의 첨가 농도가 1.0% 이상이 되면 치밀한 기공 구조와 함께 일부 불규칙하고 큰 기공도 관찰되었다. 이는 휘핑 시 반죽의 점도가 지나치게 높아져 공기의 미세한 분산이 제대로 이루어지지 않은 결과로 생각되나 추가적인 연구가 필요하다고 판단된다.

Tufaro 등(2023)은 아쿠아파바에 1% 구아검을 첨가한 경우 머랭 쿠키의 외형 개선 효과가 제한적이었으며, 젖산 첨가 시에 더 나은 형태 유지 효과를 보인다고 보고하였다. 또한 Meurer 등(2020)은 아쿠아파바의 초음파 처리로 머랭의 질감을 개선할 수 있음을 밝혔으나, 계란 흰자 기반 머랭과 동등한 수준에는 도달하지 못한 것으로 나타났다.

머랭 쿠키는 굽는 과정에서 표면의 수분이 먼저 증발하여 단단한 외부 껍질(crust) 구조를 형성하고, 잔여 수분은 내부 기공 구조에 머무르며 부드러운 내부 조직을 형성함으로써 전체적인 텍스처에 기여한다. 이에 따라 본 연구에서는 머랭 쿠키를 외부 껍질과 내부로 구분하여 각각의 텍스처 특성을 측정하였다(Fig. 6). 머랭 쿠키 껍질의 경도는 껍질이 깨지는 데 필요한 힘으로 정의되며, 이는 제품의 바삭함(crispiness)이나 첫 식감과 밀접한 관련이 있다. Fig. 6A에 나타난 바와 같이 아쿠아파바 머랭 쿠키의 껍질 경도는 계란 흰자 머랭 쿠키와 유의적인 차이를 보이지 않았으며, 1.0%까지의 잔탄검 첨가군에서도 유의한 차이는 관찰되지 않았으나 0.5% 첨가군에서 계란 흰자 머랭 쿠키와 가장 유사한 경도 평균값을 보였다. 반면, 머랭 쿠키의 내부 경도는 껍질의 깨짐성과는 구별되는 텍스처로, 전체 시료 높이의 50%까지 압축 시 소요되는 힘으로 측정하였다. Fig. 6B에 나타난 바와 같이 아쿠아파바 머랭 쿠키의 내부 경도는 계란 흰자 머랭 쿠키에 비해 다소 높은 경향을 보였으나 통계적으로 유의한 차이는 없었다(p>0.05). 그러나 잔탄검 첨가 시 내부 경도는 유의적으로 증가하였으며, 이는 잔탄검을 첨가한 아쿠아파바 반죽에서의 견고성의 증가 및 안정화된 작은 기포들이 치밀한 내부 기공 구조 형성과 관련이 있을 것으로 사료된다.

kjfp-32-5-915-g6
Fig. 6. Hardness of crust (A) and core (B) of meringue cookies made with egg white (EW), aquafaba (AQ) and aquafaba with 0.1-1.5% (w/w) xanthan gum (XG-AQ). Values are means±SD (n=6) and different superscript letters (a-d) on the bars indicate significant differences by Tukey’s multiple comparison test.
Download Original Figure

머랭 쿠키 내 공기 포집 정도를 비교하기 위해 단위 무게당 부피, 즉 비용적을 분석한 결과(Fig. 7), 아쿠아파바 머랭 쿠키와 계란 흰자 머랭 쿠키 간에는 유의적인 차이가 없었다(p>0.05). 그러나 아쿠아파바 반죽에 잔탄검을 0.5-1.0% 첨가한 경우, 계란 흰자 머랭 쿠키보다 유의하게 높은 비용적을 나타내어, 더 부피감 있는 쿠키 제조가 가능함을 확인할 수 있었다. 이러한 결과는 0.5-1.0% 잔탄검을 첨가한 반죽의 비중이 낮았던 것과 관련이 있는 것으로 판단된다. 한편, 반죽의 비중이 유사함에도 불구하고 1.5% 잔탄검 첨가군에서는 오히려 비용적이 감소하는 경향을 보였는데 유의적인 차이는 없었다(p>0.05). 다만 이러한 경향은 고농도 잔탄검 첨가에 따른 수화작용의 증가로 인해 굽는 과정에서의 수분 증발 감소와 관련된 것으로 추정된다(Tufaro 등, 2023).

kjfp-32-5-915-g7
Fig. 7. Specific volume of meringue cookies made with egg white (EW), aquafaba (AQ) and aquafaba with 0.1-1.5% (w/w) xanthan gum (XG-AQ). Values are means±SD (n=6) and different superscript letters (a,b) on the bars indicate significant differences (p<0.05) by Tukey’s multiple comparison test.
Download Original Figure

일반적으로 계란 흰자 머랭 쿠키는 굽는 과정에서의 고온 처리와 설탕의 존재로 인해 카라멜화 반응과 약한 마이야르 반응이 일어나며, 이에 따라 표면에 연한 갈색이 형성된다(McGee, 2004). Table 3에 나타난 바와 같이, 아쿠아파바 머랭 쿠키는 계란 흰자 머랭 쿠키에 비해 유의하게 높은 명도(L*) 값을 나타내었으며, 적색도(a*) 및 황색도(b*) 값은 유의하게 낮아 좀더 옅은 색을 보였다. 이러한 색차는 아쿠아파바의 낮은 단백질 함량으로 인해 마이야르 반응이 제한적으로 일어났기 때문으로 판단된다(Tufaro 등 2023). 한편, 아쿠아파바에 잔탄검을 첨가한 경우, 명도와 적색도에는 유의한 변화가 없었으나(p>0.05) 황색도가 다소 감소하여 전체적으로 색상이 연해지는 경향을 나타냈다. 이는 잔탄검 첨가가 열 반응성 색소 형성에 일부 영향을 미쳤을 가능성이 추정되나 추가적인 연구가 필요하다고 사료된다.

Table 3. Color value of meringue cookies
Color Meringue cookie
EW1) AQ2) XG-AQ3)
0.1% 0.5% 1.0% 1.5%
L* 89.18±0.724)c 91.01±0.70ab 90.69±0.03b 92.18±0.09a 91.87±0.17ab 92.27±0.52a
a* 0.57±0.23a −0.94±0.03b −0.87±0.02b −0.78±0.01b −0.79±0.02b −0.75±0.01b
b* 14.78±0.32a 6.12±0.10b 5.80±0.20b 4.42±0.07c 4.46±0.15c 4.55±0.01c

EW, egg white.

AQ, aquafaba.

XG-AQ, aquafaba with 0.1-1.5% (w/w) xanthan gum.

Values are means±SD (n=6), which sharing different superscript letters (a-c) in the same row are significantly different (p≥0.05) by Tukey’s multiple comparison test.

Download Excel Table

4. 요약

본 연구는 계란 흰자 대신 아쿠아파바를 거품 형성 소재로 사용하여 제조한 머랭 쿠키의 품질을 개선하기 위해, 잔탄검의 첨가 효과를 분석하고 최적의 첨가 농도를 선정하는 것을 목표로 하였다. 병아리콩으로부터 조제한 아쿠아파바의 주요 성분은 사포닌 4.35 mg/mL, 단백질 1.09%, 탄수화물 3.69%였으며, 거품 형성능, 안정성 및 거품 견고성은 계란 흰자에 비해 낮은 값을 보였다. 아쿠아파바에 잔탄검, 구아검, 아라비아검을 각각 0.1-1.5%(w/w) 농도로 첨가하여 비교한 결과, 잔탄검이 아쿠아파바의 거품 안정성 및 견고성 향상에 가장 효과적인 첨가물로 확인되었다. 아쿠아파바에 설탕을 추가하여 얻어진 머랭 반죽을 분석한 결과, 잔탄검 첨가로 반죽의 내부 기포 크기가 감소하고 점도가 증가하였으며, 0.5% 이상의 농도에서 공기 포집 및 견고성이 향상되었다. 또한, 굽기 후 얻어진 머랭 쿠키의 품질을 분석한 결과, 0.5% 잔탄검을 첨가한 군은 계란 흰자 머랭 쿠키와 유사한 외형과 껍질 경도를 보였다. 내부 구조는 계란 흰자 머랭에 비해 기공이 치밀하고 경도가 높았으나, 전체적으로는 높은 비용적, 즉 부피감을 보여 쿠키에 더 많은 공기가 포집된 것을 확인할 수 있었다. 이 결과를 통해 병아리콩 유래 아쿠아파바에 0.5% 잔탄검을 첨가하면, 계란 흰자 머랭 쿠키와 유사한 외형과 껍질 경도를 가지며, 부피감이 향상된 아쿠아파바 머랭 쿠키를 제조할 수 있음을 확인하였다.

Acknowledgements

None.

Conflict of interests

The authors declare no potential conflicts of interest.

Author contributions

Conceptualization: Moon S, Kim SJ. Methodology: Moon S, Kim Y, Kim SJ. Formal analysis: Moon S, Kim Y. Validation: Kim SJ. Writing - original draft: Moon S. Writing - review & editing: Kim SJ.

Ethics approval

This article does not require IRB/IACUC approval because there are no human and animal participants.

Funding

This research was supported by the Dongduk Women’s University grant in 2023, for which the authors are grateful.

ORCID

Sunmi Moon (First author) https://orcid.org/0009-0005-5998-9460

Yangji Kim https://orcid.org/0009-0003-9814-487X

Seok Joong Kim (Corresponding author) https://orcid.org/0000-0002-2162-6323

References

1.

AACC Approved Methods of the AACC.10thed Method 10-15. American Association of Cereal Chemists. Minnesota, USA: p p. 2 2000;

2.

AACC Approved Method of the AACC.11thed Method 10-05. American Association of Cereal Chemists. Minnesota, USA: p p. 1-4 2010;

3.

Alavi F, Emam-Djomeh Z, Mohammadian M, Salami M, Moosavi-Movahedi AA. Physico-chemical and foaming properties of nanofibrillated egg white protein and its functionality in meringue batter. Food Hydrocoll. 101:105554 2020;

4.

AOAC Official Methods of Analysis.18thed Association of Official Analytical Chemists. Maryland, USA. p p. 112-691 2005;

5.

Arozarena I, Bertholo H, Empis J, Bunger A, Sousa I. Study of the total replacement of egg by white lupine protein, emulsifiers and xanthan gum in yellow cakes. Eur Food Res Technol. 213:312-316 2001;

6.

Ates EG, Karsli GT, Ozcan OD, Ozvural EB, Oztop MH. Foaming and emulsifying properties of aquafaba powders as affected by saponin and amino acid content. LWT. 226:117975 2025;

7.

Buhl TF, Christensen CH, Hammershøj M. Aquafaba as an egg white substitute in food foams and emulsions: Protein composition and functional behavior. Food Hydrocoll. 96:354-364 2019;

8.

Choden N, Odell D, Casanova F, Petersen HO, Ajalloueian F, Feyissa AH. Effect of the extraction process parameters on aquafaba composition and foaming properties. App Food Res. 3:100354 2023;

9.

Crawford K, Tyl C, Kerr W. Evaluation of processing conditions and hydrocolloid addition on functional properties of aquafaba. Foods. 12:775 2023;

10.

de Barros Miranda B, Holanda GS, Raposo A, da Costa Maynard D, Botelho RBA, Romão B, de Oliveira VR, Zandonadi RP. Chickpea aquafaba: A systematic review of the different processes for obtaining and their nutritional and technological characteristics. J Food Sci Technol. 61:1439-1456 2024;

11.

Duan X, Li J, Zhang Q, Zhao T, Li M, Xu X, Liu X. Effect of a multiple freeze-thaw process on structural and foaming properties of individual egg white proteins. Food Chem. 228:243-248 2017;

12.

Fuentes Choya P, Combarros-Fuertes P, Abarquero Camino D, Renes Bañuelos E, Prieto Gutierrez B, Tornadijo Rodriguez ME, Fresno Baro JM. Study of the technological properties of Pedrosillano chickpea aquafaba and its application in the production of egg-free baked meringues. Foods. 12:902 2023;

13.

Godefroidt T, Ooms N, Pareyt B, Brijs K, Delcour JA. Ingredient functionality during foam-type cake making: A review. Compr Rev Food Sci Food Saf. 18:1550-1562 2019;

14.

Gong S, Shi X, Zheng J, Dai R, Li J, Xu G, Li X. Effect of xanthan gum, kappa-carrageenan, and guar gum on the functional characteristics of egg white liquid and intermolecular interaction mechanism. Foods. 11:2119 2022;

15.

Grossi Bovi Karatay G, Medeiros Theophilo Galvao AM, Dupas Hubinger M. Storage stability of conventional and high internal phase emulsions stabilized solely by chickpea aquafaba. Foods. 11:1588 2022;

16.

Gu H, Ma L, Zhao T, Pan T, Zhang P, Liu B, Chen X. Enhancing protein-based foam stability by xanthan gum and alkyl glycosides for the reduction of odor emissions from polluted soils. J Cleaner Product. 398:136615 2023;

17.

Guclu-Ustundag O, Mazza G. Saponins: Properties, applications and processing. Crit Rev Food Sci Nutr. 47:231-258 2007;

18.

He Y, Meda V, Reaney MJ, Mustafa R. Aquafaba, a new plant-based rheological additive for food applications. Trends Food Sci Technol. 111:27-42 2021a;

19.

He Y, Purdy SK, Tse TJ, Tar’an B, Meda V, Reaney MJT, Mustafa R. Standardization of aquafaba production and application in vegan mayonnaise analogs. Foods. 10:1978 2021b;

20.

He Y, Shen J, Meda V, Reaney MJT. Composition and properties of ethanol-precipitated chickpea aquafaba. Food Hydrocoll. 150:109723 2024;

21.

He Y, Shim YY, Mustafa R, Meda V, Reaney MJ. Chickpea cultivar selection to produce aquafaba with superior emulsion properties. Foods. 8:685 2019;

22.

Hu X, Meng Z. An overview of edible foams in food and modern cuisine: Destabilization and stabilization mechanisms and applications. Compr Rev Food Sci Food Saf. 23:e13284 2024;

23.

Kargar Z, Sourki AH. Microwave-assisted extraction enhances aquafaba functionality: A high value-added egg white replacer in vegan meringue production. Food Chem X. 25:102176 2025;

24.

Kersten F, Martin D, van der Schaaf US, Wefers D. Gum arabic - Same but different: Comparative analysis of structural characteristics and emulsifying properties of 20 Acacia senegal samples of various qualities. Food Hydrocoll. 165:111231 2025;

25.

Koriyama T, Iijima K, Hosoya T. Optimizing chickpea cooking water (aquafaba): Enhancing superior foaming and emulsifying properties through concentration protocols. Gastronomy. 3:3 2025;

26.

Kruk J, Ptaszek P, Kaczmarczyk K. Technological aspects of xanthan gum and gum arabic presence in chicken egg albumin wet foams: Application of nonlinear rheology and nonparametric statistics. Food Hydrocoll. 117:106683 2021;

27.

Lafarga T, Villar´o S, Bobo G, Aguil´o-Aguayo I. Optimisation of the pH and boiling conditions needed to obtain improved foaming and emulsifying properties of chickpea aquafaba using a response surface methodology. Int J Gastron Food Sci. 18:100177 2019;

28.

Laursen NF, Nielsen GM, Christiansen MBJ, Li R, Corredig M, Christensen CH. Plant proteins as substitutes for egg white protein in food foams: Meringues as a model system. Food Struct. 44:100417 2025;

29.

Li J, Sun J, Chang C, Gu L, Su Y, Zhai J, Yang Y. Influence of selected gums on the foaming properties of egg white powders: Kinetics of foam formation and baking performance. Food Hydrocoll. 139:108529 2023;

30.

McGee H. Meringues: Sweet foams on their own. In: On Food and Cooking: The Science and Lore of the Kitchen. In: McGee H, editor.(Editor)Scribner. New York, USA: p p. 420-431 2004;

31.

Meurer M, de Souza D, Ferreira Marczak L. Effects of ultrasound on technological properties of chickpea cooking water (aquafaba). J Food Eng. 265:109688 2020;

32.

Mine Y. Recent advances in the understanding of egg white protein functionality. Trends Food Sci Technol. 6:225-232 1995;

33.

Mustafa R, He Y, Shim YY, Reaney MJT. Aquafaba, wastewater from chickpea canning, functions as an egg replacer in sponge cake. Int J Food Sci Technol. 53:2247-2255 2018;

34.

Nguyen TMN, Ngọc NP, Quoc LPT, Tran GB. Application of chickpeas aquafaba with pre-treatment as egg replacer in cake production. Chem Eng Trans. 89:7-12 2021b;

35.

Nguyen TMN, Quoc LPT, Tran GB. Evaluation of textural and microstructural properties of vegan aquafaba whipped cream from chickpeas. Chem Eng Trans. 83:421-426 2021a;

36.

Poonnakasem N, Laohasongkram K, Chaiwanichsiri S. Influence of hydrocolloid on sponge cake. J Food Quality. 38:441-449 2015;

37.

Raikos V, Hayes H, Ni H. Aquafaba from commercially canned chickpeas as potential egg replacer for the development of vegan mayonnaise: Recipe optimisation and storage stability. Int J Food Sci Technol. 55:1935-1942 2020;

38.

Razi SM, Fahim H, Amirabadi S, Rashidinejad A. An overview of the functional properties of egg white proteins and their application in the food industry. Food Hydrocoll. 135:108183 2023;

39.

Saha D, Bhattacharya S. Hydrocolloids as thickening and gelling agents in food: A critical review. J Food Sci Technol. 47:587-597 2010;

40.

Sebii H, Ghribi AM, Chebbi W, Attia H, Besbes S. Total replacement of egg white by aquafaba and commercial substitute in meringue formulation: Effect on physico-chemical properties and hedonic appreciation. Int J Gastron Food Sci. 39:101103 2025;

41.

Song YK. Quality characteristics of sponge cake with added lotus leaf powder. J Korean Soc Food Cult. 28:651-656 2013;

42.

Stantiall SE, Dale KJ, Calizo FS, Serventi L. Application of pulses cooking water as functional ingredients: The foaming and gelling abilities. Eur Food Res Technol. 244:97-104 2018;

43.

Stasiak J, Stasiak DM, Libera J. The potential of aquafaba as a structure-shaping additive in plant-derived food technology. Appl Sci. 13:4122 2023;

44.

Tufaro D, Cappa C. Chickpea cooking water (aquafaba): Technological properties and application in a model confectionery product. Food Hydrocoll. 136:108231 2023;

45.

Vega C, Sanghvi A. Cooking literacy: Meringues as culinary scaffoldings. Food Biophys. 7:103-113 2012;

46.

Wilson AJ. Cryo-microscopical methods for the investigation of foam structure. In: Foams: Physics, Chemistry and Structure. In: Wilson A, editor.EditorSpringer. London, UK: p p. 69-88 1989;

47.

Xie YR, Hettiarachchy NS. Effect of xanthan gum on enhancing the foaming properties of soy protein isolate. J Amer Oil Chem Soc. 75:729-732 1998;

48.

Yoon KH, Kim WM, Lee GH. Properties of meringue cookies by adding various chickpea aqueous solution amount instead of egg white. J Korean Soc Food Sci Nutr. 52:539-546 2023;

49.

Yuceer M, Caner C. Effects of protease-hydrolyzed egg white on the meringue batter properties and meringue textural and sensory properties during storage. Int J Gastron Food Sci. 25:100409 2021;